挑流水垫塘三维流场数值模拟
摘要:平面射流理论揭示了射流的主要特征,但在实际工程中水流紊动扩散是在三维空间内发生。应用标准k~ε紊流模型对某工程水垫塘流场进行了三维数值模拟研究,并用模型实验中得到的实测数据和冲坑形态对分析结果进行了验证。实践证明,数值模拟结果较好地反映了实际情况,为体形相似的水垫塘流态分析提供了依据。
关键词:水垫塘;数值模拟;挑流;三维
中图分类号:TV132.29文献标识码:A文章编号:1004-7328(2009)05-0051-03
1引言
水垫塘是高坝泄洪消能的重要设施,高速水流的巨大能量要在水垫塘内消耗掉。因此,研究水垫塘内的水流流态对于水垫塘体位置布置、体形设计都有重要的意义。数值模拟能较精确地反映流体参量在空间的特性,所以如何运用数值模拟来较好地反映实际流场就具有重要的意义。
2流体双方程模型理论
VOF法认为2种或者2种以上性质不同的流体可以相互贯穿,以致流体之间相互耦合,分别满足各自的控制微分方程。在每一个计算单元里面这些流体各自占有一部分体积,因此在每一单元内考察某一流体,共有3种可能:①单元内没有该流体存在;②单元内充满该流体;③单元内有该流体和其他流体。基于以上认识,将空间内的物理参量看作是各种流体的体积加权平均,即:

式中:准i为第i 相流体的物理参量;θi为第i 相流体在单元中的体积分数,
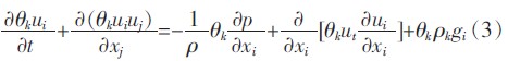
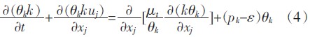
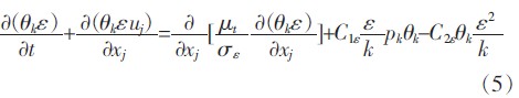
数值计算采用标准k~ε双方程湍流模型,其控制方程分述如下:
连续方程为:

动量方程为:

k 输运方程为:

ε输运方程为:

式中:μt为紊动涡旋粘性系数,
;pk为由平均速度梯度产生的紊动能,
。
3 水垫塘紊流流场数值模拟
以某工程水垫塘消能研究作为背景,模拟复杂边界条件的三维紊流运动。该工程溢洪道共有左中右3 个泄槽。溢洪道上游采用堰顶溢流,左右槽各有3 孔,中槽2 孔;下游采用挑流消能,挑坎高程为646 m,水垫塘底板高程为575 m。以设计洪水运行工况,确定上游水位810.92 m、下游水位621.6 m。
由于研究的重点是水气二相挑流场的水垫塘紊流状况,所以仅对挑坎以下水垫塘进行模拟。根据1∶100 物理模型建立封闭空间的数值模型,计算区域采用4 节点4 面体单元剖分,共剖分136 871 个单元,计算空间范围如图1 所示。
设定的边界条件包括水流速度进口、水流压力出口、空气压力进口和固壁边界:①挑坎位置的速度进口。计算区域共有左中右槽3 个速度进口,设定进口速度时将进口流速简化,假设进口流速均匀分布。

入口流速根据模型实验实测数据估算取4.6 m/s。入口k、ε按文献[1]给定:k=0.05 v02,ε=0.1 kv0/b0;v0为水股平均流速;b0为水股宽度。②出口边界。水流出口位置取在水垫塘下游一段距离,可以认为此处的边界物理参数具有零梯度,出口为自由出流。③固壁边界。根据实际模型边界设定固壁边界。④空气压力进口。除了以上边界,封闭空间其他边界都设为空气压力进口,与实际情况相符合。采用SIMPLE 算法来处理速度和压力的耦合,计算过程中对水流进口流量和水流出口流量进行实时监测。当进出口流量达到稳定即进出口流量差小于0.001 m3/s 并且不随计算步骤的推移而变化时,可认为计算收敛。
4 数值模拟结果分析
4.1 静水压强
建立的数值模型计算结果可以模拟出水流在空气中的挑射、入水以及在水垫塘中的紊动。由结果可以看出水流的入水点基本与在模型实验中观察到的相符,可见对水流进口流速的估计和设定是比较合适的。
对照实验测得的静压分布图,可以看出数值模拟所得的数值与实验数值趋势完全相同,但是在具体数值上仍存在误差。计算值在挑流落水点位置比实测值要低,而在落水点下游却以更快的趋势增高,最后超过实测值。静水压力值定性地表现了水流自由表面的分布趋势,可以认为存在这个误差是必然的,原因如下:高坝挑射水流在挑射过程中充分掺气,水滴碰撞、喷溅,并能看到明显的雾化现象,这个过程中损失的能量是不能忽略的。在缩尺模型中也可以观察到挑射水舌的扩散、水滴的喷溅等现象,而这些因素在数值模型中没法很好的模拟,因此也就导致了数值模拟中的水舌入水流速比在实际模型中能量更大、更集中,入水点下游的水面壅高更加明显。所以,会出现入水点静水压力更低、下游更高的结果。但是,即使是在误差最大的地方差值也不超过10%,可以认为满足工程需要的精度。
4.2 流速矢量分布
图3 和图4 分别截取了某一纵剖面和落水点附近某横剖面的流速矢量图。纵向上正如经典射流理论所描述:水流冲击底板并迅速折转,在主流区两侧形成旋滚,旋滚区淹没于水下,具有淹没混合流的特征。横向剖面图表明了水流入水以后不仅有纵向扩散,横向上也互相掺混,流态比较复杂。在两侧边壁处有横向旋滚,这是两侧水流横向扩散受到限制而形成的。
图5 为底板上的流速矢量分布,从图中可以看出3 股水流的落水点的相对位置和挑坎的相对位置相同。水流冲击底板后,主流向下游扩散,并相互掺混。左侧水流冲击点上游出现逆时针回流,与之相对称,在右侧水流冲击点上游出现顺时针回流。该矢量图表明水舌入水以后在横纵向扩散,当某一侧横向扩散受到了固壁边界的约束,部分水流向上游发展,从而形成回流。将上游回流局部放大,可以看到由于左侧流动空间较小,所以左侧的回流特征比右侧更加明显。


4.3 紊动动能
图6-8 截取了3 个不同高程的紊动能分布图,对照这3 个图可以看出:水面以下越靠近底板,紊动能等值线越稀疏,等值线范围也越小;落水点附近等值线比较密集。从图上可以看出有3 个等值线密集区域,分别对应3 股入射水流,两侧的密集区域范围较大,随着深度的增加明显缩小,中间的区域范围较小,却始终变化不大。结合之前的横剖面流速矢量图,可以得出以下结论:在水流入水点附近,由于流速较大和水体的掺混,剪切较为剧烈,随着水舌往深处扩散,流速减小,紊动能相应减小。两侧水流在水垫塘里横向扩散受到边壁的影响,沿边壁向上卷吸旋滚,并在上游形成回流;中间的水流没有边壁的约束,与两侧水流充分掺混,将能量分散至两侧,并随着两侧水体的紊动消耗掉。
5 结论
(1)采用k~ε双方程湍流模型,运用VOF 法模拟水垫塘挑流流态。计算结果水舌、水面变化特征与实际情况基本相符。证明该方法能够较好地模拟出挑流这一消能形式的特征。
(2)由于数值模拟没有很好地解决挑射水舌在空气中的掺混、碰撞问题,所以计算结果不可避免的存在误差。通过与实测资料对比,发现两者定性上相符很好,具体数值最大偏差也不超过10%,基本满足需要的精度。
(3)截取水垫塘空间的特征剖面,分析了水垫塘流场的主要特征。在模型上进行散粒体冲刷实验,所得冲坑形态与常规冲坑有所不同。运用数值模拟分析结果能够很好地解释该冲坑形成的原因,进一步验证了数值模拟的准确性。
(4)挑射水流进入水垫塘之后流态比较复杂,是一个空间扩散的过程,其扩散情况受到水垫深度、固壁边界还有临近水舌等条件的约束。根据这些条件的不同呈现出不同的流态。数值模拟结果所表现的该工程水垫塘的主要流态特征,对进一步研究水垫塘消能特征有一定的参考作用。
参考文献:
[1] 陈永灿,许协庆.挑流冲坑内水流特性数值模拟[J].水利学报,1993,(4).
[2] 刘沛清,冬俊瑞,李永祥,等.水垫塘内冲击射流特征及其对岩石河床的冲刷[J]. 水利学报,1995,(1).
[3] 郭子中.消能防冲原理与水力设计[M].北京:科学出版社,1982.
[4] 刘沛清,李永祥,冬俊瑞,等. 平衡冲刷坑稳定条件与堆丘的位置确定[J].水利学报,1996,(2).
[5] Cheng Ping Chu and Tser Son Wu.Study on the Flow Fields of Irrefular -Shaped Domain by an Algebraic Grid - Generation Technique[J]. SME,1991,34(1).
作者简介:杨爱弟(1982-),女,助理工程师,主要从事水利工程设计工作。
|
延伸阅读
|
没有相关文章 |


