潜流式人工湿地的数值模拟与参数率定
摘要:以沈阳辉山明渠河口潜流式人工湿地为例,利用数值模拟预测了该湿地的运行效果。采用多孔介质水流与溶质运移耦合模型,通过对湿地模型的概化与处理,利用FEFLOW软件针对潜流基质层的水流和溶质扩散进行数值模拟,通过敏感度分析确定基质层的孔隙度、渗透系数、弥散系数和吸附降解系数为影响污水处理效果的敏感参数,并通过参数率定对所建立的湿地模型进行了模拟预测,结果证明所构建的湿地模型的预测值与观测值拟合程度较好。可为潜流式人工湿地设计中运行效果预测及参数设定提供一种新的有效方法。
关键词:潜流式人工湿地;数值模拟;敏感度分析;参数率定
中图分类号:TV131.4 文献标识码:A 文章编号:0559-9350(2010)11-1280-07
Numerical simulation and parameter calibration for subsurface flow wetland
PAN Jun1,GAO Wei-chun1,TIAN Hai-long2,ZANG Hai-yang1
Abstract:The effectiveness of the operation for a subsurface flow wetland and the method of parameter calibration in numerical simulation and prediction are investigated. The coupling model for flow and solute transport in porous medium is established and the software FEFLOW is utilized to simulate the flow and solute diffusion in matrix layer of subsurface flow wetland based on the conceptualization and processing of the model. The sensitivity analysis shows that porosity, hydraulic conductivity, dispersive and first-order-decay rate are the sensitive parameters affecting the treatment effect. In the meantime, the calibrated parameters are utilized in simulation and prediction of the wetland model. The results predicted by the model are in good agreement with observation data.
Key words:subsurface flow wetland;numerical simulation;sensitivity analysis;parameter calibration
1 研究背景
人工湿地是人工建造的、可控制的以及工程化的湿地系统,为保证污水在其中有良好的水力流态和较好的去除效率,需要对其水力参数和污染物吸附降解系数进行优化组合,通过数值模型实现其参数优化和运行效果的预测在湿地设计过程中十分必要。随着人工湿地处理污水的广泛应用,各种湿地模型的开发也随之出现,国内外现已有十几种湿地模型得到开发和应用[1]。廖新俤等[2]提出了基于运行温度和进水浓度的湿地出水COD预测模型。贾忠华等[3]用DRAINMOD模拟不同来水情况对西安湿地的影响。段康前等[4]对湿地水模型作了详细的论述,并结合深圳湾流域建立了多种水文模型。焦璀玲等[5]对平阴湿地示范区进行了二维流场的数值模拟。Feng等[6]在1997年开发了湿地二维扩散模型。Kadlec等[7]在1988年开发了一个动力学模型,不过其未考虑季节性变化。目前,由于潜流式人工湿地机制的复杂性,国内外开发的潜流式湿地模型还很少。在现有的湿地模型当中,水力参数的模拟较多而其他水质参数模拟的很少[8]。大多数湿地模型属于集中参数模型,没有考虑参数在空间的变化情况及季节因素。吴振斌等[9]通过对有植物湿地系统和无植物湿地系统进行了比较研究,结果表明植物湿地系统即使在冬季也存在降解能力。因此,考虑参数分区与季节因素后建立的湿地水流与溶质运移耦合模型将会使潜流式人工湿地数值模拟更加全面,使其作为探讨潜流式人工湿地水力学特性、优化潜流式人工湿地水力学设计的研究方法和设计工具具有更重要的意义。
本文利用FEFLOW软件综合考虑参数分区与季节因素对潜流式人工湿地系统的水流和污染物运移进行模拟,以沈阳市辉山明渠人工湿地为例,系统阐述模型的建立与验证过程,并预估了该人工湿地基质层流场变化及溶质运移情况,为利用潜流式人工湿地处理污水的工程设计提供科学依据。
2 研究区域概况
辉山明渠人工湿地主体工程位于辉山明渠入浑河河口旁,主体工程由预处理设施和湿地两部分组成,占地2hm2,设计污水日处理能力为3万m3/d,主要处理来自辉山明渠的污水,污水处理后经过浑河河口缓冲区的后处理,最后排入浑河。该湿地为潜流式人工湿地,湿地分为3个平行单元,每个单元尺寸规格长×宽×高为85m×80m×0.9m,分别种植芦苇、香蒲、茭白水生植物;湿地垂直分为3层,上层是约为0.2m的亚砂土层,是植物生长初期固定根部所需的土壤层;中层是粒径8mm左右的砾石层,厚约0.6m,成熟植物根系大部分分布在该层,为污水处理层;底层为0.1m左右的黏土层。本工程结构示意图见图1。

图1 潜流人工湿地结构
3 潜流人工湿地数学模型的建立及其求解
为了研究污水在湿地基质层中的运移规律,本文选用多孔介质模型模拟潜流人工湿地的水流分布与溶质运移情况。
3.1 数学模型描述
3.1.1水流模型描述
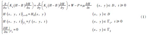
由于辉山明渠水的流量受季节变化影响,水流呈非稳定状态,但总体上基质中水流为层流运动,服从达西定律,根据湿地基质层条件,将湿地内水流概化为非均质各向同性二维非稳定潜水流。其数学模型表示为:

式中: Kx、Ky 分别为x、y 方向的渗透系数;H 为湿地中的水位;B 为湿地底板高度;n 为边界的外法线方向单位向量;W 为湿地的源项;P 为湿地的汇项;μ为给水系数;Γ1、Γ2 分别为第一、二类边界。
3.1.2溶质运移模型描述
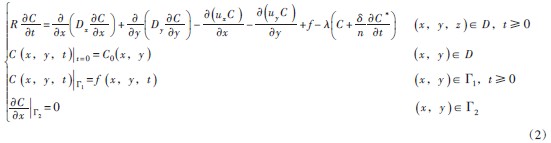
污染物在湿地基质层中的运移主要包括分子扩散、机械弥散和动力学衰减。因此,将溶质在湿地中运移的数学模型描述为:

式中: Dx、Dy 分别为x、y方向的弥散系数;ux、uy 分别为x、y方向的速度分量;R 为阻滞因子,其值常大于1;f 为溶质的源汇项;λ为生物降解常数;δ为含水层的干容重;n 为有效孔隙度;C *为固体颗粒吸附的溶液的浓度。
3.1.3污染物在湿地中的衰减描述
污染物在湿地中的衰减过程,基本符合一级动力学方程[10],污染物的衰减方程描述为:

式中:kT为温度为T 时的反应速率常数;k20为温度为20℃时的反应速率常数;T为反应温度;α为与湿地状态及季节有关的常数;C0为进入湿地的污染物浓度。
3.2 人工湿地的数值模拟与预测
3.2.1区域剖分
由于湿地除了进水端和出水端外,两侧和底部均为防渗层,因此将整个湿地作为模拟区域,采用有限单元法的三角剖分,在湿地进水区、出水区以及监测点位置进行网格加密。剖分后有20 488个节点,29 352个单元格。剖分图见图2所示,图中1~6分别代表芦苇、香蒲草、茭白区3个单元的监测点。

图2 监测点及人工湿地有限元网格
3.2.2模拟层的确定
由于该湿地在垂向上可分为3 层结构,其污水处理主要发生在根系层(第2层),因此将根系层作为模拟层。湿地模型坡度为2%,模拟区总长度255m,宽80m,高0.9m,每层高度的数据输入,以出水端黏土层底部作为模型的相对0m,进水端各层的高程按照坡度计算,中间高程采用Kriging法进行插值。
3.2.3水质模拟因子的选择
根据辉山明渠水质监测资料,本次选取CODCr 和总氮(TN)作为模拟因子。
3.2.4模型参数的确定
本文模型参数主要通过试验测定与经验公式两种方式获取,参数的初始值范围是依据相关文献给出的,通过敏感性分析进行调参,待模型输出数据与实测数据吻合时,确定参数的最终取值。
(1)渗透系数(K)的确定。本文中填料的渗透系数通过经验公式[11]计算获得。上层、模拟层、底层渗透系数的初值见表1。
(2)弥散系数(D)的确定。辉山明渠人工湿地填料实际粒径大约为8mm,本文根据Klotz[12]等人对纵向弥散度及其指数的室内试验研究,给定αL 为0.413 6m,αT 按照αT = αL /10公式计算。
(3)一级去除率(KDE)的确定。根据湿地不同季节对CODCr 和TN的一级去除率(KDE)不同,分别概化为夏秋、冬春两个不同时段予以赋值,夏、秋季节污水进入湿地的平均温度为14.5℃,冬、春季节污水进入湿地的平均温度为3℃。
①CODCr的KDE值。据有关文献和实际试验[13],本文采取的CODCr一级去除率初始值见表1。
②总氮(TN)的KDE 值。Graetz 等[14]1980 年发现佛罗里达的15 个湿地KTN 取值范围在0.008~0.63,模型中建议KTN范围:0.05~0.30,本文采用0.15。模型中其它参数的初始值见表1。
3.2.5边界条件处理
边界条件分为水流边界条件和溶质边界条件。将湿地进、出水口处定为具有已知水位和已知浓度的第一类边界条件;两侧的黏土层均设为具有零通量的第二类边界,见图3。

表1 模型参数初始值

3.2.6源汇项的处理
在本模型中,将降雨和蒸腾综合为一个数值项,视为模型垂向上的源汇项,赋给模型的顶层。
3.3 模型参数的校正
本文通过敏感度分析,得知参数n、Kx、Ky、DL 和KDE 为影响出水浓度的敏感参数。将2007-11-1—2008-4-30与2008-5-1—2008-10-31的数据分别对模型冬春、夏秋季节参数进行率定,调整敏感参数,当预测值与监测值达到较好的拟合度时,所确定的参数值即为模型最终取值,见表2、表3所示。
表2 夏、秋季模型参数

3.4 模拟结果与分析
本文仅以CODCr 为例叙述其验证过程,利用辉山明渠人工湿地4、5、6点在2009-5—2009-10的监测数据对所建立的湿地模型进行验证,观测值与模拟预测值对比见表4所示。其中实测CODCr的进水浓度为175.8mg/L。
表3 冬、春季模型参数

表4 观测值与预测值对比(单位:mg/L)

利用相对误差法对模型进行检验[15],计算结果显示4、5、6号的中值误差分别是2.8%、3.9%、2.7%,都小于10%,认为模型的精度可以满足需要。另外,利用SPSS的非参数检验中边际一致性检验方法进行了检验,检验结果见表5和图4—7。
表5 验证结果


图4 4号监测点验证效果

图5 5号监测点验证效果
经过非参数检验,标准离差分别为3.05、3.57 和4.27,双尾检验的伴随概率为0.74、0.69 和0.61,若显著性水平α为0.05,由于概率P 值大于α,因此接受零假设,认为每个观测点的预测值和监测值之间没有显著差异。
从4、5、6号监测点的监测数据和模型预测数据的差异性检验、数据的对比情况来看,差异性检验的伴随概率均大于0.05的显著水平,接受零假设,即差异不显著,可以认为预测值和实测值之间的误差不大;从对比情况来看,对比值靠近45°直线,表明监测值和预测值偏离较小。综上所述,所建模型的预测值与监测值较吻合,证明所建模型及参数较准确,可用于潜流式人工湿地的数值模拟。

图6 6号监测点验证效果

图7 显著性检验结果
通过对模型预测结果分析发现,在夏、秋季植物生长迅速,对污染物的吸收和降解加快,湿地出水的污染物浓度较低;而在冬、春季植物枯萎甚至死亡后,吸收和降解能力下降,致使湿地出水的污染物浓度高于夏、秋季。
4 结语
本文利用FEFLOW软件对沈阳市辉山明渠河口潜流式人工湿地进行了模拟,通过与实际对比分析,证明利用该软件可以模拟预测潜流式湿地基质层中水流状态、溶质运移及污水处理后的水质变化,进而为潜流式人工湿地的数值模拟方法与手段等方面提供一定的参考,也拓展了该软件的应用范围。
通过敏感度分析确定基质层的孔隙度、渗透系数、弥散系数和吸附降解系数为影响污水处理效果的敏感参数,通过参数率定实现了水力参数与吸附降解系数的优化组合,进而为潜流式人工湿地设计中的参数设定提供参考依据。
本文潜流式人工湿地系统的数值模拟时考虑了季节因素,分别对夏秋、冬春两个不同时段进行了参数率定,在今后相关研究中,将会对季节变化进行更细致的时段划分,以每个季度为单元或是根据湿地植物不同生长阶段进行参数率定,使模型更加准确合理。在今后人工湿地的设计中,为避免盲目选取填料、植物,防止湿地建成后不能达到预期运行效果等问题,建议在湿地设计之前优化其水力参数和污染物吸附降解系数,利用数值模拟方法对其进行模拟预测,保证其达到较好的运行效果。
参考文献:
[ 1 ]朱永青,林卫青. 人工湿地数学模型模拟与应用[J]. 环境污染与防治,2007,29(2):155-157 .
[ 2 ]廖新俤,骆世明,吴银宝,等. 人工湿地处理废水有机物动态模型的研究[J]. 工业用水与废水,2004,35(4): 23-26 .
[ 3 ]贾忠华,罗纨,周晓夏,等. 干旱与半干旱地区湿地水文及临界条件的模拟研究[J]. 水利学报,2004(6):27-32 .
[ 4 ]段康前,倪晋仁. 湿地综合分类研究:Ⅱ模型[J]. 自然资源学报,1998,13(4):312-319 .
[ 5 ]焦璀玲,王昊,李永顺,等. 人工湿地数值模拟研究-以山东平阴湿地示范区为例[J]. 南水北调与水利科技,2008,6(6):87-108 .
[ 6 ] Feng Ke,Molz F J . A 2-D,diffusion-based, wetland flow model[J]. Journal of Hydrology,1997,196(1-4):230-250 .
[ 7 ] Kadlec Robert H,Hammer David E . Modeling Nutrient Behavior in Wetlands[J]. Ecological Modeling,1988,40:37-66 .
[ 8 ]朱永青. 人工湿地净化机制数学模型模拟及应用[D]. 上海:东华大学,2006 .
[ 9 ]吴振斌,陈辉蓉,贺锋,等. 人工湿地系统对污水磷的净化效果[J]. 水生生物学报,2001,25(1):28-35 .
[ 10] Upton J,Green M B . A successful strategy for small treatment plants[J]. Water Qual . Int . ,1995,4(2):12-14 .
[ 11]高拯民,李宪法,等. 城市污水土地处理利用设计手册[M]. 北京:中国标准出版社,1999:225-248 .
[ 12] Hen Ze M,Gujer W,Mino T,van Loosdrecht M . Activated sludge models ASMI,ASMZ and ASM3[M] .Scientifie and Teehaieal Report No . 9 . London,UK . IWA Publishing,2000 .
[ 13]籍国东,孙铁珩,李顺. 人工湿地及其在工业废水处理中的应用[J]. 应用生态学报,2002,13(2):224-228 .
[ 14] Graetz,et al . Constructed Wetlands for Waster Treatment;Municipal,Industrial,and Agricultural[C]// Wetland egetation . Chelsea,MI:Lewis Publishers,1989:73-88 .
[ 15]程声通. 环境系统分析教程[M]. 北京:化学工业出版社,2006:25-26 .
作者简介:潘俊(1962-),男,辽宁大连人,博士,教授,主要从事水污染防治研究。
|
延伸阅读
|


