水环境容量计算在工程中的应用
摘要:做好现状和规划状态下的生态需水估算,有利于水利规划,有利于生态环境调控与管理,更有利于水资源的优化配置。本文用不同方法分析了三亚市南山创意新城河网的水环境容量,使该项目在促进经济发展和满足防洪排涝、水资源开发利用的同时,又保护与修复了生态环境。
关键词:水环境容量;水资源平衡;生态环境;需水量
Application of water environment capacity calculation in the engineering construction
Deng Baiwang,Yuan Xiaoyu
Abstract: With the continuable development of economy and the need of ecological environment construction, ecological water requirement has become the foremost problem of ecology, hydrology, and water resources science. Estimation of current and future ecological water requirements is not only beneficial to the water conservancy planning, and the regulation and management of ecological environment,but also to the optimal allocation of water resources. In order to the water system in Sanya Nanshan Original City can promote economy development,prevent flood,can impolder water resources,and can protect and restore ecological environment, water environment capacity in the channel network is analyzed using different methods.
Key words: water environmental capacity;water balance;ecological environment;water demand
中图分类号: TV123 文献标识码: B 文章编号: 1000-1123(2010)18-0048-03
海南省三亚市南山创意新城位于三亚市西部崖城镇,水域面积308.59 hm2,占规划面积的17.95%。根据工程区域防洪排涝计算,整个水系总体布置为:上游泄洪渠,中心调蓄池,2 条节制干河,4 条汇水支河。
根据水量平衡分析,整个河网水体总量为96.67 万m3,河网90%保证率雨水补充量在8、9、10 月,富裕水量100 万~243 万m3,富裕度较大,其余各月富裕水量为1 万~63 万m3,小于水网水体总量,不能满足每月1~2 次的水体交换,也不能满足《水资源可利用量估算方法(试行)》采用的历史流量法计算的水量。另外河网水体受闸门控制后成为封闭水系,因此需要计算水环境容量,检验是否满足水质标准。
一、水环境容量计算方法
水环境容量源于环境容量,是指某一水环境单元在特定的环境目标下所能容纳污染物的量,也就是环境单元依靠自身特性使本身功能不至于破坏的前提下能够允许的污染物的量。在理论上,水环境容量是环境的自然规律与社会效益参数的多变量函数,它反映了污染物在水体中的迁移、转化规律,也满足特定功能条件下水环境对污染物的承受能力。允许纳污量是指在排污口空间分布及排污方式给定条件下,环境单元所能允许排放污染物的量。允许纳污量不仅与水质标准有关,而且与污染源的时空分布有关。实际应用中,由于水环境容量无法直接计算,人们把最大允许纳污量作为环境容量。水环境容量计算方法可分为两大类,一是已知排放量求最小需水量,二是已知水体量求纳污量。1.已知排放量求最小需水量已知排放量求最小需水量可按河道流量是否受控制分为河道内最小生态环境流量和湖泊(受控制的河网)最小生态环境需水量。
(1)计算河道内最小生态环境流量
①水文学法
a.径流时段曲线分析法。最大的优点是考虑了径流的年内分布特征对水生生态环境的影响。该方法需要利用河流的多年流量资料建立一系列的月流量时段曲线,然后依据河流自身的特性及其生态环境功能(如水生生物的不同发育阶段对水量的需求),确定河流每月多年平均值的百分比,以此作为该月的河流生态需水量。
b.Tennant 法。即取年天然径流量的百分比作为河流的生态需水量,并将年平均流量的10%作为最小的河流生态需水量。
c.河流基本生态环境需水量法。即采用河流最小月平均实测径流量的多年平均值作为河流生态需水量。
②水力学法
河道生态环境需水量生态目标主要体现在流速或水深两方面。对于断面相对规则的河道可采用曼宁公式建立流速、水深与河道径流量间的关系, 进而确定相应关键期生态环境需水量:

式中,v 为河道流速,R 为水力半径,n为曼宁底床糙率系数,i 为河道纵向坡度。
③生境法
生境法是将大量的水文水化学现场数据与选定的水生生物在不同生长阶段的生物学信息相结合,采用PHABSIM(Physical Habitat Simulation)模型模拟流速变化和栖息地类型的关系,进行流量增加对栖息地影响的评价。该方法需要对研究环境实地观测、实验,以确定各种生物需水量,系统复杂,花费时间较长,但较精确。
(2)计算湖泊(受控制河网)最小生态环境需水量
①水量平衡法
根据湖泊水量平衡原理,湖泊的蓄水量由于入流和出流水量不尽相同而不断变化,在没有或较少人为干扰的状态下,湖泊水量的变化处于动态平衡。
dv / dt = (R+P+Gi)-(D+E+G0)(2)
式中,P 为降水,R 为地表径流的入湖水量,Gi为地下径流的入湖水量,D 为地表径流的出湖水量,E 为湖泊水面的蒸散量,G0为地下径流的出湖水量。
②换水周期法
换水周期指全部湖水交换更新一次所需的时间,是判断某一湖泊水资源能否持续利用和保持良好水质条件的一项重要指标。
T =W/ Qt或T =W/Wq (3)
式中,T为换水周期,d;W 为多年平均蓄水量,亿m3;Qt为多年平均出湖流量,m3/s;Wq为多年平均出湖水量,亿m3。
③最小水位法
最小水位法是指综合维持湖泊生态系统各组成部分和满足湖泊主要生态环境功能的最小水位最大值与水面面积的乘积,以此来确定湖泊生态环境需水量:
Wmin=Hmin× S (4)
式中,Wmin为湖泊最小生态环境需水量,Hmin为维持湖泊生态系统各组成分和满足湖泊主要生态环境功能的最小水位最大值,S 为水面面积。
④功能法
功能法是根据生态学的基本理论和湖泊生态系统的特点,从维持和保证湖泊生态系统正常的生态环境功能的角度,对湖泊最小生态环境需水量进行估算的计算方法。所需计算的因子包括:
a.河网蒸散需水量,b.河网渗漏需水量,c.水生生物栖息地需水量,d.环境稀释需水量,e.河网防盐化需水量,f. 能源生产需水量,g. 航运需水量,h.景观保护与建设需水量,i.娱乐需水量。
以上不同计算方法所基于的理论基础和侧重点不同。水量平衡法是根据湖泊水平衡理论,换水周期法是根据湖泊的自然换水周期理论,最小水位法是以湖泊水位年变化和季节变化为理论基础,功能法是从维持和恢复湖泊生态环境功能的角度出发。因研究区域和对象不同应选择不同的计算方法,水量平衡法和换水周期法适用于人为干扰较少的自然湖泊和城市人工湖泊;最小水位法适用于急需保护和濒临干枯的湖泊;功能法是在全面评价湖泊生态健康的基础上,对湖泊生态环境现状和发展趋势进行分析,适用于特定区域湖泊生态系统恢复与重建和流域水资源管理。
本工程平常状态下需关闭水闸维持河网常水位,故采用湖泊(受控制河网) 计算方法中的功能法计算纳污能力。根据功能法计算内容,结合本规划区规划要求及目标,本规划区除能源生产需水量和航运需水量外,其他需水量都需考虑。根据水量平衡计算,各月河网水量为净流入,因此不存在盐化问题;同时根据规划要求,本河网作为满足防洪排涝的景观河道,对于生态需水量基本上只要能满足水质标准即可,按需水量计算的兼容性及最大值原则,本工程环境稀释需水量起主导作用。
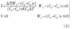
环境稀释需水量计算方法:在现状排放量已知的情况下,满足河网稀释自净能力所需的最小库容如下:

式中,△T 为枯水期时段(d),它取决于河网水位年内的变化,枯水时间短,水位年内变化大的可取60~90 d,常年稳定则可取90~150 d;C0为背景值浓度;CS为水污染控制目标浓度(水质标准)(mg/L);WC为现状排放量;V 为枯水期河网所需最小库容;K 为水体污染物的自然衰减系数(L/d);v 为安全容积期间从河网中排泄的流量。对于水库和大型河网,河网水中污染物的稀释扩散实际上是三维的,求解较困难,解决途径是将河网的水力、水文和水质状况加以简化。
2.已知水体流量计算纳污能力
①两分法
环境容量分为稀释容量(差值容量)和自净容量(同化容量)。

式中,E 为环境容量,t / a;E1为稀释容量,t / a;E2为自净容量,t / a;Q 为河流设计流量,m3 / s;CS为水质标准,mg / L;K 为综合降解系数,L / d;C0为河流初始浓度,mg / L;L 为河段长度,m;U 为断面平均流速,m/ s。
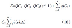
②三分法:环境容量分为稀释容量、自净容量、该区间附近的迁移容量。
E=E1+E2+E3=Q(CS-C0)+KVCS+qCS(7)
式中,E3为区间来水附加迁移容量,t / a;V 为水体体积,m3;q 为污染物平均排放流量,m3 / s。
③水环境容量E 等于允许排污量W
E=W=86.4×0.365×(CS-C0exp(-KL/U))×Qr×exp(KL/(2U))(8)
式中,W为允许排污量,t / a;CS为目标水质,mg / L;C0为起始断面浓度,mg / L。
④物料恒定法
某一封闭河段的物质总量保持一致。即

式中,Ei为第i 个排污口的允许排放量。
⑤控制断面法
控制断面法满足某一控制断面水质要求,进而计算控制断面间的环境容量。其计算模型是从控制断面向上游反推计算直到上一控制断面,两断面间所有排污口允许的排污量之和为段内水环境容量。

式中,qi为第i 个排污口排污量,ki为第i 段污染物降解系数,ti为第i 段内水流时间。
本工程采用水环境容量E 等于允许排污量W的方法来计算河网在给定水质目标要求下最大允许接纳污染物的量。
二、计算成果
1.水质指标设计标准
根据《三亚市水环境功能区划汇总技术报告》,现状宁远河中下游崖城大桥断面、下游临高村断面水体均属Ⅲ类水质,符合水环境功能区要求,拟定水质目标为Ⅲ类水质,排放标准以COD(30mg/L)、NH3-N(1.5mg/L)、TP(0.3mg/L)控制。
2.河网纳污能力(生态需水)分析
(1)按湖泊(受控制河网)环境稀释需水量计算纳污能力
按湖泊环境稀释需水量,根据河网水体积和排出水量,可反推出河网各月最大纳污能力,成果见表1。
表1 按湖泊计算河网各月最大纳污能力表单位:kg / d

(2)按水环境容量等于允许排污量计算纳污能力
按水环境容量E 等于允许排污量W 计算纳污能力,计算各月河道各指标纳污能力,成果见表2。
表2 按河道计算各月最大纳污能力单位:kg/d

三、结语
①按河道水环境容量E 等于允许排污量W 计算纳污能力,比按湖泊(受控制河网)环境稀释需水量计算纳污能力得到的结果偏低,主要原因是河网排出的流量及流速较小,对水体自净能力反应不明显。
②按河道水环境容量E 等于允许排污量W 计算纳污能力,对河道天然来水量反应较敏感,按湖泊(受控制河网)环境稀释需水量计算纳污能力对于河道天然来水量反应较不敏感,是因为前者理论考虑了河道流速的影响,即河道断面的影响。而按湖泊(受控制河网) 环境稀释需水量计算纳污能力认为湖泊流速很小,故不考虑湖泊形状对纳污能力的影响。
③从两种计算方法看,本工程虽然整个水网水体总量为96.67 万m3,但河道长度为12.5 km,完全按湖泊水功能区计算纳污能力比较失真。故推荐采用河道按水环境容量E 等于允许排污量W 计算纳污能力较符合实际,并用按湖泊(受控制河网)环境稀释需水量计算纳污能力方法进行校核。
④通过以上分析,本规划区域河网水体及降雨补水能满足河网自身纳污能力,并且由于降雨补水达到90%保证率,因此本河网纳污能力保证率较高。
⑤水质各指标最大允许纳污量不大,特别是枯水季节。
⑥河网应考虑有保障水质的水源及措施,以缓解枯水季节纳污能力不足,并应对不可预测的污染物超标情况出现。
⑦河网建成后需加强污染物排放控制,以满足河网纳污能力要求,
保证河网水质及生态平衡。
⑧建议工程竣工后在河网布置水环境监测点,对河网水环境进行实时监测,为补水调度提供分析指导。
参考文献:
[1] 邓柏旺,袁晓宇,郑健吾,等.工程设计中如何考虑水资源平衡[J].水资源研究,2008,29(2).
[2] 赵斌,董增川,徐德龙.区域水资源合理配置分质供水及模型[J].人民长江,2004(2).
[3] 唐德善,王锋,段力平.水资源综合规划[M].南昌:江西高校出版社,2001.
[4] 张永良.水环境容量综合手册[M].北京:清华大学出版社,1991.
[5] 马欢.松花江哈尔滨段水环境容量研究[C].哈尔滨工业大学工学硕士学位论文.2006.
[6] 李顺.海南省地表水环境容量研究[J].安徽农业科学,2008,36(13).
[7] Daoyang Dingy,Philip L-F Liu.An Operator-Splitting Algorithm for Two-Dimension Convection Dispersion Reaction Problems.Proc. of Int. On Com putation Methods in Flow Analysis, Ed. By H. Niki, M. Kawahara tokoyo, 1988.
[8] Jean A cunge. Two -Dimension Modeling of Flooding Plains. Unsteady Flow in Open Channels. 1975(2).
作者简介:邓柏旺(1979—),男,工程师。
|
延伸阅读
|
没有相关文章 |


