永定河流域生态补偿标准研究
摘要:考虑过去流域生态补偿研究中具有忽略水质功效、生态价值计算方法缺少系统性的不足,本文总结出基于水量水质模拟、水生态价值核算的流域生态补偿标准测算框架,并以水量水质功效的不可分割性为基础,得到了永定河跨界断面补偿标准。借鉴永定河流域生境及物种的多元化、不同水域相关功能属性的差异性,从河流生态系统、森林生态系统、湿地生态系统层面考虑,借助投入产出对应关系确定受益补偿标准为150亿元。以限制发展机会成本、水源涵养损失机会成本为依据,得到流域生态受损补偿标准为16亿元。最后结合应用成果,探讨了生态补偿标准完善策略。
关键词:生态补偿标准;水量补偿;水质补偿;机会成本
中图分类号:X826 文献标识码:A 文章编号:1672-3031(2011)04-0283-09
Research on the ecological compensation standard of Yongding River Basin
FU Yi-cheng,RUAN Ben-qing,ZHANG Chun-ling
Abstract: The studies of watershed eco-compensation schemes which emphasize water quality efficiency and systematic ecological services value calculation methods remain less. The paper presents watershed eco-compensation standard calculation framework based on water quantity-quality simulation and water ecosystem services value. Considering water quantity and water quality integrity,the paper supplies Yongding River Basin ecological compensation standard across hydrological control sectors. The author gives Yongding River Basin benefit compensation standard by considering ecosystem species and habitats diversity, water body function differentiation from river,forest and wetland system. The benefit compensation value is annual 15 billion yuan in terms of input-output relationship. The damaged compensation standard is annual 1.6 billion yuan by taking into account the opportunity cost of limiting development and water conservation loss. Finally,the paper illustrates the perfection suggestion of eco-compensation standard based on practice result.
Key words:eco-compensation standard;water quantity compensation;water quality compensation;opportunity cost
1 研究背景
海河流域是我国水污染严重的流域之一,也是水资源开发利用程度最高的流域,“有河皆干,有水皆污”是该流域水环境状况的表现。永定河作为海河的一级支流,位于E112°—117°45′、N39°—41°20′之间,流域面积47 016km2,流经内蒙古、山西、河北3省,北京、天津2市,共43个县市。永定河上游有桑干河和洋河两大支流,在河北省怀来县朱官屯汇合,以下的河段称永定河,在延庆县汇入妫水河,经官厅水库流入官厅山峡。永定河流域水资源因被过量开发利用,已形成区域环境恶化、河湖干枯断流、湿地洼淀消失、水土流失加剧等生态灾难。流域饮用水源区的水质以Ⅲ类为主;跨省界断面缓冲区断面水质以Ⅲ—Ⅳ类为主。本文以官厅水库以上永定河段为研究区,探讨跨区域的流域生态补偿标准。
我国流域生态补偿研究始于20世纪90年代,主要集中在补偿主客体、措施、标准等方面,其中补偿标准的计算是实施生态补偿机制的关键。已有的流域生态补偿测算标准针对性强、通用性差,对水量水质联合属性考虑较少。国际上,Niksokhan等[1]针对污染的河流系统提出一种考虑利益相关者利益冲突的污染物排放控制方法;Mahjouri等[2]给出一种跨流域的水权转让理论方法;Jesus de Otoro给出核算由环境保护行为提高流域生产能力导致的机会成本方法[3]。水质招标或水质交易可以提供给土地用户更多的适应性的激励机制,印尼个案的研究作为首先使用招标机制来揭示费用支付的研究,为该机制在流域生态补偿标准方面的应用提供了新思路[4]。国内对流域生态补偿的研究一般借助对污染物实施的排放控制展开。曹国华等[5]的博弈模型、庞爱萍等[6]的基于水环境容量的流域生态补偿标准确定方法、卢艳等[7]的基于水质和污染物总量的流域生态补偿测算模型,均从一定程度上揭示了水质的好坏与生态补偿标准制定之间的潜在关系。徐大伟等[8]尝试性提出基于河流水质水量的跨行政区界的生态补偿量计算办法;许丽丽[9]以上游退耕还林农民的收益损失作为汉江流域生态补偿的下限;韩艳莉等[10]以“3S”技术为支撑,给出青海湖地区生态补偿的上下限。但在实践中,补偿方与受偿方对生态环境保护的投资及收益水平的估算依据不同,难以准确界定生态补偿标准。结合当前流域生态补偿实施中的共建共享理论[11]、经济最优理论[12],本文从水量水质属性出发,分类计算补偿标准;为实现流域合理用水、有序发展,永定河流域生态补偿标准测算框架见图1所示。水资源短缺、上下游用水矛盾突出、水环境恶化等问题的存在,使得流域生态补偿标准制定要有效益评价和具体的水量、水质要求。

图1 永定河流域生态补偿标准研究框架
2 跨界断面补偿标准
近年来,永定河流域水资源量严重不足,受气候变化、人类活动的影响,流域的降水量、径流量总体呈减少趋势,区域间、区域内用水竞争矛盾尖锐。为了从上游的山西、河北得到水质达标的下泄水量,当监测断面水量不存在重复时,下游北京有义务对上游在生态保护方面的投入进行补偿。上游获得补偿后,在合理协调区域部门用水的前提下,加大治污、中水循环利用力度,尽量保证出境水量的水质达标。
2.1 补偿依据
水资源的水量和水质双重属性,决定着水的功能和价值大小。在竞争用水状态下,用途不同,价值也不同。在不同地区、不同领域及不同时期其水资源价值大小有较大的差别。针对永定河流域当前水环境监控的总体水平,选择Ⅲ类水质污染经济标准作为跨区域河流水质补偿的判定标准,实现经济补偿与被污染的河流水量水质挂钩。
2.2 水量补偿标准
依据永定河干流分水协议(在50%、75%、90%保证率下,山西、河北的出境水量为1.2、0.65、0.3亿m3和3.0、1.5、0.6亿m3),结合不同降水频率下的出境水量,考虑到地表水与地下水之间的转换关系,核算下游针对上游断面出境水量的补偿标准。
50%降水频率(元/m3):

75%降水频率(元/m3):

90%降水频率(元/m3):

式中:Q为断面实际下泄水量(亿m3),计算过程中的数据已经过单位换算。对于不同降水频率对应下的补偿标准采用线性内插方法确定。
2007年北京和山西、河北省的分水协议中出境水量为0.65亿、1.50亿m3,实际出境水量为0.55亿、0.93亿m3,由此计算得到补偿标准为-0.11、-0.63元/m3。在综合分析的基础上,北京对山西、河北省的水量补偿金额为-110万、-3 574万元。
为保障河流健康,预留适当的河道生态水量是实现流域生态健康、可持续的基础。为保障永定河上游的生态流量,当洋河河北省张家口市响水堡—八号桥、桑干河山西册田水库—石匣里河段的流量低于90%保证率最枯月平均流量时,河北省、山西省出境水量不再计算生态补偿金。
2.3 水质补偿标准
实施流域生态补偿后,下游提供给上游一定的补偿,用于流域环境的保护,使得生态服务价值有所增加,包括水质改善、水量时空分布均匀化、水土流失面积减少等。当前,我国对流域污染物排放管理实行总量和浓度双重控制。为实现流域生态补偿的公平、高效,均衡补偿双方的利益,本文采用的水质补偿依据为:

式中:VSS为流域水资源价值补偿量(元/a);δ为判定系数(当水质优于Ⅲ类时,δ=1;当水质为Ⅲ类时,δ=0;当水质劣于Ⅲ类时,δ=-1);W为上下游转移水量(t/a);C为污水处理成本(元/t);C0为水体的恢复成本(万元/t);M0为水功能区内污染物排放总量(t/a);M为水功能区水体纳污能力(t/a)。
2007年永定河流域山西、河北省的出境水质类别为Ⅳ类,结合当前流域污水处理厂的运行情况,上游的山西、河北需向下游的北京市赔偿2 750、7 740万元。借鉴以往的研究成果,本文将水体的恢复成本定为0.557万元/t[6],经综合分析,山西、河北应分别向下游的北京市赔偿12 731、2 912万元。在保证跨界水功能区水质浓度达标的前提下,永定河流域需要的自净水量远大于河道多年平均径流量。为此,本文暂不对上下游之间基于自净水量的补偿额进行计算。
3 流域受益生态补偿标准
生态补偿的最终目的是通过激励人们的生态环境保护行为来维系流域生态系统服务功能的正常发挥。本文将对流域进行生态补偿看作“投入”、生态服务功能看作“产出”,运用投入与产出之间的对应关系,利用产出值间接核算生态补偿量(生态服务价值)。针对永定河流域生境及物种的多元化、不同水域相关功能属性的差异性,笔者从河流生态系统、森林生态系统、湿地生态系统层面考虑,借助相关统计公报(2007年)及流域土地利用分类数据,通过对与直接、间接、其他价值的核算,确定受益生态补偿标准。依据生态产品、服务类型的联合评价框架,对生态系统功能进行系统分类是进行生态服务价值核算的基础,见图2所示。
3.1 河流生态系统
(1)物质产品价值。流域物质产品具有商品属性。本文借助投入产出平衡分析,从流域物质产品的总产出中扣除获得此价值需付出的中间投入,即为物质产品的生产功能价值:
Vsubstance=V0-(W+R)
式中:Vsubstance为物质产品价值(元/a);V0为生态系统当年所有物质产品的现价产值(元/a);W为生产过程中所有物质成本投入(元/a);R为生产过程中所有人力成本投入(元/a)。

图2 生态系统功能、产品、服务联合评价框架
永定河流域生态补偿标准研究付意成阮本清张春玲永定河流域属北方半干旱气候区,年降水量相对较小,河道内水生植物生物量较小。流域动物资源主要以册田、壶流河、官厅水库的渔业养殖为主。经综合分析,永定河流域物质产品价值为146万元。
(2)附加功能价值。流域生态系统的附加功能主要指生物多样性维持、休闲文化功能,本文采用单位面积价值法进行估算:
Vaddition=∑Ai ? (P1,i + Pe,i + Pc,i ) (6)
式中:Vaddition为生态系统附加功能价值(万元/a);Ai为第i 类生态系统的面积(km2);Pl,i为第i 类生态系统单位面积生物多样性维持价值(元/(km2·a));Pe,i为第i 类生态系统单位面积的休闲娱乐价值(元/(km2·a));Pc,i为第i类生态系统单位面积的文化价值(元/(km2·a))。
本文在参考河流的休闲娱乐生态系统平均价值[13]、生态系统生物多样性单位面积生态价值量[14]的基础上,计算出永定河流域的附加功能价值为18 711万元。
(3)供水价值。永定河流域官厅水库以下基本断流,因此地表水不具有开发利用潜力。本文依据《水资源公报》(2007年)的流域分区水资源开发利用数据将流域水资源开发利用率定为82%,考虑到流域供水对象的差异性,供水价值计算公式为:

式中:Vwater为供水价值(万元);Q为供水水源所在流域的地表径流量(亿m3);P为水价(元/m3)。
本文在考虑流域的水质类型及控制断面下泄水量的基础上,流域的供水价值为207 535万元。
(4)水力发电。永定河上游水库来水量较小,水电站出力较小。依据市场价值法,2007年永定河流域官厅水库发电价值约为33万元[15]。
(5)河流输沙。永定河河道泥沙输送主要集中在汛期,此时水流含沙量高,处于饱和状态。针对流域泥沙变化规律,本文采用平均输沙率与治理泥沙成本的乘积进行河流输沙价值计算:
Vsed-trans=Ws·Cs
式中:Vsed-trans为河流输沙价值(万元);Ws为河流多年平均输沙量(万t);Cs为治理泥沙平均成本(元/t)。
本文将河流输沙的平均治理成本取为3.1元/t[16]。在综合分析的基础上,永定河流域的河流输沙价值为25 017万元。
(6)净化环境功能。通过研究湖库的氮、磷去除效能,力图最大程度的反映水生态系统的水体净化功能和价值。在水库纳污能力范围内,水体本身经过一系列物理、化学作用后能使污染水体的污染物浓度有所降低。本文采用替代花费法,进行水库生态系统的水质净化功能价值计算:
V=(NP ? NR + PP ? PR)A (9)
式中:V为水库净化环境功能价值(元);NR为单位面积水域氮的平均去除率(t/km2);NP为污水除氮处理成本(元/t);PP为污水除磷处理成本(元/t);PR为单位面积水域磷的平均去除率(t/km2);A为水库水域面积(km2)。
本文将湖库单位面积平均氮、磷的去除率取为398、186t/km2,氮、磷去除成本按生活污水处理成本计,分别为1 500、2 500元/t。经综合分析,流域湖库的净化功能价值为28 906万元。
3.2 森林生态系统
森林生态系统服务功能指森林生态系统及其生态过程为人类提供的自然环境条件与效用[17]。本文采用2007年TM 遥感影像,破译出永定河流域森林生态类型面积及其空间展布规律。依据GPS 样点和植被分布调研成果,本文将森林生态系统分为灌丛、针叶林、阔叶林和针阔混交林四类进行功能价值的计算。
(1)土壤保护功能价值。永定河流域森林植被保护土壤的功能主要体现在减少周边土地损失、防止土壤肥力下降、减轻河道泥沙滞留和淤积层面。土壤保护功能价值的计算公式为:

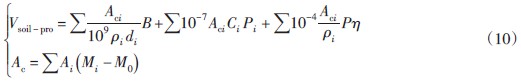
式中:Vsoil-pro为植被对土壤保护功能价值(万元/a);Ac为减少的土壤侵蚀量(t/a);B为林业年均收益(元/km2);ρ为土壤容重(t/m3);d 为土壤表土平均厚度(m);Ci为土壤中N、P、K的含量(kg/t);Pi为N、P、K化肥的价格(元/t);P为水库单位库容每年需投入的成本(元/m3);η为因土壤侵蚀淤积于湖库中的泥沙所占比例,按照我国主要流域的泥沙运动规律,全国土壤侵蚀流失的泥沙有24%淤积于水库、江河和湖泊,研究取土壤侵蚀流失比例为24%;Ai为第i 类森林类型的面积(km2);M0为无林地土壤侵蚀模数(t/(km2·a));Mi为第i类林地类型的土壤侵蚀模数(t/(km2·a))。
结合GIS的空间分析数据计算得出永定河流域的土壤保持功能价值为468万元。
(2)林产品价值。本文结合永定河流域植被类型及主要利用方式,利用木材蓄积面积与市场价值的乘积计算林产品价值:
Vforest =10-2Apabc (11)
式中:Vforest为林产品价值(万元);A为森林面积(km2);p 为流域平均木材价格(元/m3);a 为森林综合出材率;b为林木的择伐强度;c为单位面积的木材蓄积量(m3/hm2)。
本文将单位面积的木材蓄积量取为149m3/hm2。经综合分析,流域林产品价值为625 925万元。
(3)水分调节功能价值。水分调节功能主要指流域森林、水库生态系统的补给水源与均化洪水功能。森林生态系统补给水源功能价值采用影子价格法进行定量计算:
Vwat-con =102Ahmp (12)
式中:Vwat-con为枯水季节森林补给水量的价值(万元);A 为林地面积(km2);h 为土壤深度(m);m为土壤孔隙度;p为用水水价(元/m3)。
森林生态系统均化洪水的功能体现在增加水源补给层面。在考虑森林植被分层结构对降雨的截留影响及土壤层贮水作用下,本文采用的均化洪水功能价值计算公式为:

式中:V为均化洪水功能价值(万元/a);Wt为森林生态系统补给水源量(m3);A为林地的面积(km2);R为汛期平均降水量(m);I 为林地的林冠截留率(%);L 为林地单位面积凋落物层的持水量(m3/km2);S为林地单位面积土壤的贮水量(m3/km2);S0为无林地单位面积土壤的贮水量(m3/km2);P为水库单位库容每年需投入的成本(元/(m3·a))。
结合统计资料及以往的研究成果,永定河流域森林的水分调节功能价值为228 005万元。
(4)大气调节功能价值。流域周边森林的纳碳吐氧作用,增加了大气中游离态氧离子的含量,改善了空气环境质量,使整个流域成为清新愉悦的宜居环境。本文采用市场价值法对流域森林固碳释氧的经济价值进行估算:
Vair = Vc + V0 =∑Qc(i )?Pc +∑Q0(i ) ? P0 (14)
式中:Vair为森林固碳释氧总价值(元/a);Vc为森林固碳总价值(元/a);V0为森林释氧总价值(元/a);Qc(i)为第i 类林木固碳量(t/a);Q0(i)为第i 类林木释氧量(t/a);Pc为单位固碳量价值(元/t);P0为单位释氧量价值(元/t)。
本文将森林固碳、释氧的单位功效取为2.78、2.02t/hm2。经综合分析,永定河流域森林的大气调节功能价值为56 323万元。
(5)环境净化功能价值。环境净化功能主要指流域森林生态系统对有毒气体(SO2、NO)、粉尘的净化功能,计算公式为:
Vpur = P1∑Ai Mi + P2∑Ai Ni + P3∑AiQi (15)
式中:Vpur为森林净化环境功能价值(元/a);Ai为第i 类林地的面积(km2);Mi为第i 类林地对有毒气体(SO2)的净化能力(t/(km2·a));Ni为第i 类林地的滞尘能力(t/(km2·a));Qi为第i 类林地对有毒气体(NO)的净化能力(t/(km2·a));P1为削减有毒气体(SO2)的成本(元/t);P2为削减粉尘的成本(元/t);P3为削减有毒气体(NO)的成本(元/t)。
永定河流域阔叶林、针叶林、混交林的面积为744、537、950km2,环境净化功能价值为279 332万元。
(6)附加功能价值。流域森林生态系统的附加功能价值主要指森林的科研文化和生物多样性维持价值。本文采用市场定额法进行计算,得到流域的附加功能价值为35 726万元。
3.3 湿地生态系统
湿地生态系统是开放水域与陆地之间过渡性的生态系统,兼有水域和陆地生态系统的特点,具有其独特的功能和结构。湿地多样化的生态服务功能的重要性及价值的差异性,成为对湿地进行合理开发和补偿有价可依的依据。
(1)净化水质功能。湿地具有很强的处理污水、净化水质功能。本文将湿地单位面积净化水质功能的价格定为4 177元/hm2,采用生态价值法进行计算。结合各省自然保护区的分类名目,以及人机交互处理的TM遥感影像(湿地面积为82 021hm2),流域湿地的水质净化功能价值为34 260万元。
(2)科研文化价值。湿地的科研文化价值主要表现在为北方植物的功能价值、珍稀鸟类的生活习性提供场所。本文将单位面积湿地生态系统的平均科研价值取陈仲新等[18]的成果为382元/hm2。流域湿地的科研文化价值为3 133万元。
(3)生物多样性价值。永定河流域湿地适宜的气候条件和独特的地理位置,利于生物多样性的维持。本文将湿地的避难所价值取为2 310元/hm2[13],采用生物栖息地功能估算法计算永定河流域湿地生物多样性价值为18 975万元。
(4)调节气候价值。永定河流域湿地植被类型以低杂草甸为主,群落生物量为2 778kg/hm2。依据植物每生产1g干物质需要1.63gCO2,释放1.19gO2,湿地1年能够固定CO237.14万t,释放O227.11万t。湿地固定CO2功能价值采用造林成本法进行估算,取为260.90元/t;释放O2的功能价值采用工业氧的价格,取为330元/t,永定河流域湿地的调节气候价值为18 636万元。
(5)消减洪水功能价值。永定河湿地位于内陆,对消减洪水、调蓄洪流具有一定的作用。本文取2007年中国湿地生态系统水文调节功能6 035.90元/hm2和废物处理功能6 467.04元/hm2的平均值作为永定河流域湿地消减洪水的功能价值。经综合分析,流域湿地消减洪水的功能价值为51 280万元。
(6)水分调节功能价值。湿地生态系统的水分调节功能与水库的作用类似,采用影子工程法进行计算。经初步调查,流域湿地蓄水763.8万m3,按照我国每建设1m3水库库容投入成本为0.67元计算,流域湿地生态系统水分调节功能价值为511万元。
(7)物质生产价值。永定河流域湿地多为自然保护区,其人工生产价值、市场价值较低,且难以开发。流域水产养殖密度较低,本文暂不进行流域湿地物质产品生产价值的计算。
本文依据流域不同生态系统服务功能的差异性,在价值属性分类合并的基础上,给出永定河流域生态功能价值表(表2所示)。流域上游的生态保护行为获得的生态服务价值,被整个流域共享,因此,流域受益生态补偿额是外部经济性行为的全部,本文将流域生态系统服务价值的计算结果作为流域受益补偿标准的参考值。
表2 永定河流域生态系统服务功能评估结果(单位:万元)

4 流域受损生态补偿标准
生态补偿标准是建立生态补偿机制的关键。流域生态补偿标准的核心是确定补多少才能既反应水生态服务的价值及其成本与收益,又能被上、下游接受,实现流域生态功能的恢复或改善。研究表明,流域受损生态补偿标准应由流域上、下游依据流域水环境污染治理投入以及为保护水源地丧失经济发展的损失,通过共同协商后确定。
4.1 限制发展机会成本
机会成本(OC)指做出某一决策而放弃另一决策时放弃的利益,用来衡量决策的后果,是一种被国内外普遍认可,且适用范围较广的补偿标准方法[19]。流域上游开展的水资源开发利用与保护工作直接影响到下游地区的用水安全。上游地区限制不利于节水、水源涵养和水环境保护的产业发展,实现上下游跨界断面的水量、水质考核控制标准,在一定程度上制约了当地经济发展和人民生活水平的提高。当前的研究一般将上游放弃产业发展可能失去的最大经济效益作为流域生态补偿标准。为便于流域地区间发展指标的横向比较,研究中常采用间接计算法进行上游地区机会成本损失的核算:
ECe = (Cin,c - Cin,p)PCa1 + (Fin,c-Fin,p)PFa2 (16)
式中:ECe为基于机会成本的补偿标准(元);Cin,c为参照城镇居民人均支配收入(元);Cin,p为上游地区城镇居民人均可支配收入(元);PC为上游地区城镇居民人口数(元);Fin,c为参照县市的农民人均纯收入(元);Fin,p为上游地区农民人均纯收入(元);PF为上游地区农业人口数(人);a1、a2为水资源贡献率。
为进一步缩小永定河上游的山西、河北和下游的北京市之间的发展差距,本文将北京市作为水量水质的受益主体,山西、河北作为受偿主体。本文依据投入成本比例反映贡献率的理念,在调研和借鉴相关研究成果的基础上,将城镇、农村居民生活的水资源贡献率暂定为2%、0.9%,综合分析后,得到永定河流域机会成本损失为86 146万元。
4.2 水源涵养损失机会成本
流域上游植树造林对涵养水源、减少水土流失、净化环境改善空气质量起到积极作用。下游除在直接投入上对上游的造林行为进行资助,还需要对上游造林造成的区域发展格局上的机会成本进行补偿。核算依据为:
ECi = OCi × Ai + OCs × As (17)
式中:ECi 为基于机会成本的补偿标准(元);OCi 为新造林的机会成本(元/hm2);Ai 为新造林面积(hm2);OCs为现有林的机会成本(元/hm2);As为现有林的面积(hm2)。
经综合分析,永定河流域现有林、新造林的机会成本约为2 100元/hm2,流域丧失的机会成本为74 543万元。
在综合计算的基础上,永定河流域上游由于生态建设和护林工作丧失的机会成本为160 689万元。当前在受损生态补偿标准计算中,难以准确估算采用有效环境保护行为提高流域生产能力导致的机会成本,通常借助流域资源利用中的有效成本分析确定上游付出的机会成本。在规划水平年机会成本的预测过程中,应考虑载体的变动、时间和风险因素的影响,实施基于分类核算的机会成本核算方法。
5 结语
本文以缺水与水污染并重的永定河流域为例,针对当前流域生态补偿标准研究中忽视水质功效、生态价值计算方法不统一的弊端,给出基于水量水质的流域生态补偿标准计算方法,流域上游的山西省、河北省应向下游的北京市给予水量、水质赔偿10 762、19 055万元。本文以流域不同生态补偿类型的生态价值核算、机会成本确定为基础,给出永定河流域受益、受损补偿标准分别为150亿元、16亿元。本文尽管给出可操控性强,并以实例辅佐的流域生态补偿标准,但在具体操作过程中尚存在需完善之处,建议如下:(1)运用计量经济学的基本理论和方法在确定生态服务价值时,应充分考虑生态服务市场的不完备性、投入产出映射关系的多元化、投入要素市场价格的不易量化性、生态服务消费隐含性等要素,构建生态系统服务的生产-消费-价值化耦合转移函数,固化受益生态补偿补偿标准价值核算方法。(2)在进行受损生态补偿标准制定过程中,应充分考虑补偿标准研究中补偿对象的微观决策行为,借助机会成本的空间分布特征,实现不同参与主体潜在功效的准确核算。
参考文献:
[ 1 ] Niksokhan M H,Kerachian R,Amin P . A stochastic conflict resolution model for trading pollutant discharge permits in river systems[J]. Environmental Monitoring and Assessment,2009,154(1-4):219-232 .
[ 2 ] Mahjouri N,Ardestani M . A game theoretic approach for interbasin water resources allocation considering the water quality issues[J]. Environmental Monitoring and Assessment,2009,167(1-4):527-544 .
[ 3 ] Kosoy N,Martinez-Tuna M,Muradian R,Martinez-Alier J . Payments for environmental services in watersheds:insights from a comparative study of three cases in Central America[J]. Ecological Economics,2007(61):446-455 .
[ 4 ] Jack K B,Leimona B,Ferraro P . Arevealed preference approach to estimating supply curves for ecosystem services:use of auctions to set payments for soil erosion in Indonesia[J]. Conserv . Biol,2009,23(2):359-367 .
[ 5 ]曹国华,蒋丹璐. 流域跨区污染生态补偿机制分析[J]. 生态经济,2009(11):160-164 .
[ 6 ]庞爱萍,李春晖,刘坤坤,等. 基于水环境容量的漳卫南流域双向生态补偿标准计算[J]. 中国人口资源环境,2010,20(5专):100-103 .
[ 7 ]卢艳,王燕鹏,蒙志良,等. 流域生态补偿标准研究-以河南省海河流域为例[J]. 信阳师范学院学报(自然科学版),2011,24(2):1-6 .
[ 8 ]徐大伟,郑海霞,刘民权. 基于跨区域水质水量指标的流域生态补偿量测算方法研究[J]. 中国人口资源环境,2009,18(4):189-194 .
[ 9 ]许丽丽. 汉江流域生态补偿探析[J]. 安徽农业科学,2009,37(28):13905-13906,13909 .
[10]韩艳莉,陈克龙,朵海瑞,等. 青海湖流域生态补偿标准研究[J]. 生态科学,2009,28(5):460-464 .
[11]许凤冉,阮本清,汪党献,等. 流域水资源共建共享理念与测算方法[J]. 水利学报,2010,41(6):665-670 .
[12]刘玉龙,胡鹏. 基于帕累托最优的新安江流域生态补偿标准[J]. 水利学报,2009,40(6):703-707 .
[13] Costanza R,et al . The value of the world’s ecosystem services and natural capital[J]. Nature,1997(387):253-260 .
[14]谢高地,甄霖,鲁春霞,等. 生态系统服务的供给、消费和价值化[J]. 资源科学,2008,30(1):93-99 .
[15]彭涛,张振明,刘俊国,等. 基于生态服务功能的北京永定河生态修复目标研究[J]. 中国农学通报,2010,26(20):287-292 .
[16]赵同谦,欧阳志云,王效科,等. 中国陆地地表水生态系统服务功能及其生态经济价值评价[J]. 自然资源学报,2003,18(4):443-452 .
[17]赵景柱,肖寒,吴刚. 生态系统服务的物质量与价值量评价方法的比较分析[J]. 应用生态学,2000,11(2):290-292 .
[18]陈仲新,张新时. 中国生态系统效益的价值[J]. 科学通报,2000,45(1):17-22 .
[19] Castro E,Costa Rican . Experience in the charge for hydro environmental services of the biodiversity to finance conservation and recuperation of hill side ecosystems[C]//The International Workshop on Market Creation for Biodiversity Products and Services ,OECD,Paris ,2001 .
作者简介:付意成(1983-),男,山东潍坊人,博士生,主要从事流域水资源管理研究。
|
延伸阅读
|


