长江流域年平均径流对气候变化的响应及预估
摘要:为分析长江流域气候变化对径流产生的影响,对长江干流水文站年平均径流与年平均潜在蒸散发、年平均降水量的经验方程进行验证,利用修正后的经验方程分析了长江流域干流水文站年平均径流对不同气候要素耦合变化的响应,并预估了2010~2049年长江流域干流水文站年平均径流在不同排放情景下的变化趋势。结果表明:对长江流域而言,当气温增加相同量值时,降水减少比降水增加对径流的影响量大;当气温减少相同量值时,降水增加比降水减少对径流的影响量大。2010~2049年,在3种温室气体排放情景下,长江干流宜昌站年平均径流均呈微弱减少趋势,而大通站除在SRES - A1B情景下微弱增加外,在其他两种情景下也微弱减少。
关键词:气候变化; 年平均径流; 预估; 长江流域
中图法分类号: TV121 文献标志码: A 文章编号: 1001 - 4179 (2010) 12 - 0080 – 04
Response and prediction of mean annual runoff in the Yangtze River Basin to climate changes
ZENG Xiaofan, ZHOU J ianzhong
Abstract: To analyze the impacts of climate change on runoff in the Yangtze River Basin, the empirical equation of mean annual runoff and mean annual potential transpiration, mean annual rainfall are verified and revised. Based on the revised equations, the response of mean annual runoffs to different coup led climate change conditions are analyzed and future trend of mean annual runoff in the Yangtze River Basin under three emission conditions from 2010 to 2049 is predicted. The results show that when temperature increases at the same magnitude, impact of rainfall decreasing on runoff is stronger than that of rainfall increasing; when temperature decreases at the same magnitude, impact of rainfall increasing on runoff is stronger than that of rainfall decreasing. During 2010~2049, mean annual runoff at Yichang Hydrological Station shows a slight decreasing trend under three emission conditions of greenhouse gas. Mean annual runoff at Datong Hydrological Station decreases slightly under the conditions of SRES - A2 and SRES - B1, while increases slightly under the condition of SRES - A1B.
Key words: climate change; mean annual runoff; prediction; the Yangtze River Basin
全球变暖背景下,近100 a来中国年平均地表气温明显增加,升温幅度比同期全球平均值略高。近100 a和近50 a的降水量变化趋势不明显,但1956年以来出现微弱增加的趋势[ 1 ]。中国气候变化也呈现比较明显的区域差异[ 2 ]。全球气候仍将持续变暖,并呈现不同的区域变化特征[3]。长江是我国的第一大河,水资源量丰富,过去几十年长江流域大部分地区年平均气温呈上升趋势,年降水量略有增加[4 - 5]。在气候变化背景下,从多年平均值的时间尺度,研究长江流域年平均径流量如何受气候要素变化的影响以及未来径流均值状态变化特征,对长江流域社会经济发展有重要的参考意义。1 研究方法
分析气候要素变化对流域径流的影响,主要包括两种方法: ①基于对历史长期数据进行统计规律分析,建立径流与气候要素的统计方程,对气候要素变化进行一定的假设从而计算径流的相应变化[6-7]; ②利用全球气候模式对气候进行预估;并将其作为水文模型或统计性质模型的输入值来预估径流变化[8 - 9]。若仅分析气候变化对流域年平均径流而非日、月径流过程的影响,则不需要模型建立、参数验证等复杂过程,可以直接通过经验方程进行计算[10 - 11]。为研究气候变化对长江流域多年平均径流均值而不是短时降雨径流过程的影响,本文选择年平均径流为分析对象,基于经验方程理论进行研究。
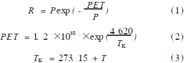
根据H. D. Holland等人研究[12 - 13 ],流域年平均径流主要受年平均潜在蒸散发量、年平均降水量的影响,3者之间的关系可用以下公式进行描述:

式中, R为多年平均径流, mm; P为年平均降水量,mm;PET为年平均潜在蒸散发, mm;TK 为开尔文温度,℃;T为年平均气温,℃。利用公式(1)可以计算不同气候变化情景下径流的响应,从而分析年平均径流受气候变化的影响。
2 方法验证
澳大利亚28 个流域以及其他文献资料对公式
(1)的验证表明[13],通过公式(1)计算的径流与实测径流拟合效率系数为0. 94,在不同流域存在拟合误差,需进行修正。本文首先对公式(1)在长江流域进行修正以使方程适用于该流域。
选取长江流域干流上游和下游的重要控制水文站宜昌和大通,利用这两个水文站1960~2008年年平均气温、年平均降水量(宜昌站控制流域内有73个气象站点,大通站控制流域内有131个气象站点)和年平均径流数据对公式(1)进行验证。长江流域气象、水文站点分布见图1。

图1 长江流域气象站和水文站分布
根据实测数据计算公式(1)中的各项(见表1)。本文中的经验方程以年平均值为研究对象,虽然长江流域上游修建了特大型水利工程三峡水库,但其是季节调节水库,在年际尺度上对径流量影响不大,因此经验方程主要反映气候变化对多年平均径流均值影响,未考虑年内水库调度对径流量时间分配改变的影响。
表1 长江流域干流年平均径流与年平均潜在蒸散发、年平均降水量关系

根据表1可知,通过公式(1)计算的年平均径流与实测年平均径流存在一定程度的差异,因此在评估气候变化对长江流域年平均径流影响时,必须对公式(1)乘以修正系数α才适用于长江流域不同地区。则公式(1)修正为

根据表1的验证结果,对宜昌站控制的长江上游流域,α取为1.51;对大通站控制的整个长江流域, α取为1. 41。
3 年平均径流对气候变化的响应
设定年平均降水量分别为±10%、±20%和年平均气温分别为±1℃的耦合变化条件,基于公式(4)计算不同气候要素耦合变化条件下宜昌、大通水文站年平均径流的绝对值变化,并将其除以实测年平均径流,即为年平均径流变化率,结果见表2。
表2 不同气候变化条件下宜昌、大通站年平均径流变化

注:表中“ + ”为增加;“ - ”为减少。
从表2 可知,对宜昌、大通站分别控制的流域而言:当气温增加1℃时,降水增加对年平均径流的影响并不呈线性关系,降水增加20%对年平均径流的影响比降水增加10%对径流影响的2倍还要大;当气温增加1℃时,降水减少对年平均径流的影响也不呈线性关系,降水减少20%对年平均径流的影响比降水减少10%对径流影响的2倍要小;当气温减小1℃时,降水增加20%对年平均径流的影响比降水增加10%对径流影响的2倍要小;当气温减小1℃时,降水减少20%对年平均径流的影响比降水减少10%对径流影响的2倍还要大。也就是说,当气温增加相同量值时,若降水增加幅度越大,则年平均径流量增加越大;若降水减少幅度越大,对年平均径流量的影响则逐渐变小。当气温减少相同量值时,若降水增加幅度越大,对年平均径流量的影响则逐渐变小;若降水减少幅度越大,年平均径流减少幅度越大。
根据表2还可以看出,当气温增加相同量值时,降水减少比降水增加对径流的影响量要大;当气温减少相同量值时,降水增加比降水减少对径流的影响量要大。
4 年平均径流变化预估
利用全球大气模式ECHAM5/MP I-OM对长江流域的未来气候进行预估,分析长江流域干流水文站年平均径流在2010~2049 年的变化趋势[14 -16]。ECHAM5 / MP I-OM 是德国马普气象研究所在ECHAM4的基础上改进的模式,空间分辨率为T63 (相当于1. 875°×1. 875°栅格)。ECHAM5模式在给定工业化前(1860年前)大气成分的初始条件下,模拟长江流域1941~2000年控制试验期逐日气候要素,控制试验期中的胁迫条件考虑了观测到的人类活动对温室气体的影响,并且该模式采用IPCC提出的3种排放情景: SRES-A2(高排放,注重经济增长的区域发展情景) , SRES - A1B (中排放,注重经济增长的全球共同发展情景)和SRES - B1 (低排放,强调环境可持续开发的全球共同发展情景)预估长江流域未来气候变化。
ECHAM5/MP I-OM模式以1. 875°×1. 865°为栅格(长江流域覆盖有79个栅格点)模拟计算试验期(1940~2000年)、预估未来3种排放情景下(2010~2049年)的逐日降水和气温要素,利用统计降尺度方法将其插值到1°×1°格点值,再分别对宜昌、大通水文站控制流域范围内的所有格点值取算术平均,从而得到模式计算的流域年平均降水和年平均气温。3种排放情景下2010~2049年的宜昌、大通水文站控制流域的年平均气温和年平均降水相对于模式计算的1971~2000年均值的变化率见表3。该模式在长江流域的验证及应用详见文献[17]。
表3 模式预估2010~2049年的年平均降水和年平均气温相对于1971~2000年变化率

3种不同排放情景下宜昌、大通水文站2010~2049年年平均径流均值相对于多年平均径流的变化率见表4。其中,多年平均径流是将ECHAM5模式计算的试验期1961~2000年模拟气温和降水均值输入公式(4)中计算得出的, 2010~2049年年平均径流均值是将ECHAM5模式预估的不同排放情景下2010~2049年气温和降水均值输入公式(4)中计算得出的。
表4 宜昌、大通站2010~2049年不同排放情景年平均径流变化率%

从表4可知, 2010~2049年, 3种情景下宜昌站年平均径流都呈微弱减少趋势;大通站除在SRES-A1B情景下极微弱增加,在SRES - A2和SRES-B1情景下都微弱减少。2010~2049年,长江流域气候持续变暖,年平均降水量无显著变化趋势,但降水量的变率增加[ 17 ]。结合表4,在长江流域未来气候持续变暖的背景下,年长江流域干流年平均径流可能呈现一定的减少趋势,且年内分配趋势改变,将对流域水资源综合管理与配置提出一定的挑战。
5 结论
本文根据年平均径流与年平均潜在蒸散发、年平均降水量的经验公式,计算了长江流域干流水文站年平均径流对不同气候要素耦合变化条件下的响应,并预估2010~2049年年平均径流在不同排放情景下的变化趋势。结果表明:长江流域干流水文站年平均径流不同气候要素变化情景下的响应比较复杂; 2010~2049年,在不同排放情景下,宜昌站和大通站年平均径流基本呈现微弱减少趋势,只有大通站在SRES -A1B情景下略微增加。
参考文献:
[ 1 ] 丁一汇,任国玉,石广玉,等. 气候变化国家评估报告(Ⅰ) :中国气候变化的历史和未来趋势[ J ]. 气候变化研究进展, 2006, 2(1) : 3 - 8.
[ 2 ] 左洪超,吕世华,胡隐樵. 中国近50年气温及降水量的变化趋势分析[ J ]. 高原气象, 2004, 23 (2) : 238 - 244.
[ 3 ] IPCC, Climate Change 2007: The Physical Science Basis. Contribution of Working Group I to the Fourth Assessment Report of the Intergovernmental Panel on Climate Change[R]. Cambridge: Cambridge University Press, 2007.
[ 4 ] 姜彤,苏布达,王艳君,等. 四十年来长江流域气温、降水与径流变化趋势[ J ]. 气候变化研究进展, 2005, 1 (2) : 65 - 68.
[ 5 ] Jiang T, Su B D, Hartmann H. Temporal and spatial trends of precipitation and river flow in the Yangtze River Basin, 1961 ~2000 [ J ].Geomorphology, 2007, 85 (3-4): 143-154.
[ 6 ] Vogel R M,Wilson I, Daly C. Regional regression models of annual streamflow for the United States[ J ]. Journal of Irrigation and Drainage Engineering, 1999, 125: 148-157.
[ 7 ] Chiew F H S. Estimation of rainfall elasticity of streamflow in Australia[ J ]. Hydrologic Science Journal, 2006, 51: 613 - 625.
[ 8 ] Jiang T, Chen Y D, Xu C, et al. Comparison of hydrological impacts of climate change simulated by six hydrological models in the Dongjiang Basin, South China[ J ]. Journal of Hydrology, 2007, 336: 316 - 333.
[ 9 ] Gao C, GemmerM, Zeng X F, et al. Projected streamflow in the Huaihe River Basin (2010-2100) using artificial neural network [ J ].Stochastic Environmental Research and Risk Assessment, 2010, DO I: 10. 1007/s00477 - 009 - 0355 - 6.
[ 10 ] BudykoM I. Globalna Ecologya[M]. Moscow:Mysl Publishers, 1977.
[ 11 ] BrutsaertW. Evaporation into the Atmosphere: Theory, History and Applications[M]. New York: Cornell University Press,1982.
[ 12 ] Holland H D. The Chemistry of the Atmosphere and Oceans [M]. New York: JohnWiley and Sons.1978.
[ 13 ] Leonard R G. Assessing the effect of climate change on mean annual runoff[ J ]. Journal of Hydrology, 2009, 379: 351-359.
[ 14 ] Arpe K, Hagemann S, Jacob D, et al. The realism of the ECHAM5 models to simulate the hydrological cycle in theArctic and North Euopean area[ J ]. Nordic Hydrology. 2005, (36) : 349-367.
[ 15 ] Stefen L,Duane E. W, Siegfried D S. Predictability studies of the Intraseasonal oscillation with the ECHAM5 GCM [ J ]. Journal of the Atmospheric Sciences. 2005 (62) : 3320-3336.
[ 16 ] Roeckner E, Buml G, Bonavetura L, et al. The atomospheric general circulation model ECHAM5. part I:[R]. Humburg: Max Planck Institrte forMeteorology, 2003.
[ 17 ] 曾小凡,苏布达,姜彤,等. 21 世纪前半叶长江流域气候趋势的一种预估[ J ]. 气候变化研究进展, 2007,3 (5) : 293 - 298.
作者简介:曾小凡,女,博士,主要从事气候变化和水文水资源响应研究。
|
延伸阅读
|


