分布式地下水模拟模型MODFLOW介绍与应用
摘要:MODFLOW 是由美国地质调查局开发出来的三维地下水模拟模型,在科研、环保、水资源规划等方面得到了广泛的应用。本文介绍了MODFLOW 地下水模型的概念、原理,并结合一个具体实例进一步说明了模型的使用方法。
关键词:模型 MODFLOW 水资源
中图分类号 TV121+.3 文献标识码 A 文章编号 1672-2469(2011)03-0030-03
DOI 编码 103969/ j issn.1672- 2469-2011-03-010
地下水是人类及一切生物赖以生存的必不可少的重要物质,是工农业生产、经济发展和环境改善不可替代的极为宝贵的自然资源。随着国民经济的发展,地下水资源供需矛盾日渐突出。为了更好地管理与利用地下水资源,地下水资源量的计算与评价是非常重要的一项基础工作。
地下水资源量计算与评价有水均衡法、数值计算法等多种方法,在我国常用的是水均衡法。随着科学技术尤其是计算机技术的迅速发展,基于计算机的模拟模型已经可以描述水循环的各个阶段,如气候和天气、暴雨系统、降水、蒸散发、地下水等。流域水文模型可分为集总模型和分布式模型两种。集总模型不考虑各部分流域特征参数在空间上的变化,把全流域作为一个整体; 分布式模型则根据流域水文地质特征将流域划分为若干个水文模拟单元,在每一个单元上用一组参数反映该部分的流域特征。下面介绍的MODFLOW 地下水模型就是一分布式模型。
1 MODFLOW 地下水模型介绍
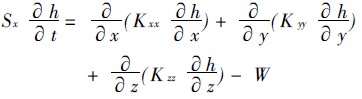
地下水模型是建立在计算机基础上的,使用数学方法来表述自然水文地质系统的基本特征。应用时需要建立概念模型和数学模型。概念模型是我们对某一区域水文地质特征的模拟或描述,数学模型是一系列方程式,受限于一定的假定条件量化模拟含水层内蓄水的实际过程。地下水模型提供一个科学的方法将相关的数据纳入地下水系统的数字化特征中,预测地下水的动态变化。MODFLOW 是英文Modular Three- dimensional Finite- difference Ground- water Flow Model (模块化三维有限差分地下水流动模型) 的简称,由美国地质调查局开发出来的三维地下水模拟模型。自问世以来,在科研、环保、水资源规划等方面得到了广泛的应用。MODFLOW 采用三维有限差分法进行模拟,其基本原理是: 在不考虑水的密度变化条件下,孔隙介质中地下水在三维空间的流动可以用下面偏微分方程来表示。

其中: Kxx,Kyy 和Kzz 为渗透系数在x,y 和z 方向上的分量,在这里,我们假定渗透系数的主轴方向与坐标轴的方向一致,量纲为(LT-1) ;
h——水头(L) ;
W——单位体积流量(T-1),用以代表流进汇或来自源的水量;
Sx——孔隙介质的贮水率(L-1) ;
t——时间(T) 。
三维有限差分模拟地下水流示意图见图1。

图1 三维有限差分模拟地下水流示意图
使用MODFLOW 地下水模型有三个步骤: 模型建立,模型校准,模型预测,下面分述之。
1.1 模型建立
建立模型就是建立概念模型并将之转化为数字形式,用于模拟地下水变化过程。将所评价区域划分为若干层网状单元格,确定边界类型,然后根据含水层地质岩性资料及其他水文特征确定传导系数K 、入渗系数R、储水系数S 及初始水位等各种参数。
1.2 模型校准
模型建立后,通过运算可获得一组模拟结果。
模型校准是在实际界限内调整独立变量的过程,通过不断调整参数,使模拟数据和实际数据建立最好的匹配关系。
1.3 模型预测
地下水模型的一个主要目标是对地下水系统的动态变化做出预测,通过描述预期的水文、气候条件预测未来地下水的变化情况,从而为科学规划水资源提供依据。
2 模型应用实例
评价区为冀北坝上高原,分别位于河北省张家口市张北县、尚义县和康保县,属内陆河流域。评价区划分为5 个模型,分别是安固里淖模型,察汗淖模型,南康保模型,东康保模型,张纪模型。模型区总面积6223km2,占该流域项目区行政面积的61%,占内陆河总面积的75% 。
2.1 水文地质特征及补给排泄说明
2.1.1水文地质特征
模型区所处大地构造单元为内蒙地轴东部的南侧,地层为第四系下更新统,湖积所致。模型区内大部分被80~ 100m 厚的粉砂质粘土、粉细沙和砂砾石层所覆盖。地下水位埋深一般为3~ 4m,含水层厚度10~ 15m,主要为松散岩类孔隙水。
2.1.2地下水补给与排泄
模型区所处位置为坝上丘陵平原区,属内陆河流域,补给主要是大气降水垂直补给,另一部分是地表水体入渗。排泄以前主要以潜水蒸发为主,近年来随着地下水开采量的增加,人工开采占的比重越来越大。
2.2 MODFLOW 模型方法步骤
在此,选取南康保模型作为例子,说明模型的方法步骤,其他模型与此类似。
(1) 将模拟区域分层,并划分为若干单元格。这里我们主要分析潜水和弱承压水,故将含水层划分为一层。将这一区域划分为30×22 个单元格,每个单元格面积1km2,然后确定边界条件、活动单元格及非活动单元格,非活动单元格将隐藏不见,这样模拟区域和实际流域形状一致,见图2。

图2 模拟的模型区域图
(2) 确定层顶部高程(Top Of Layers) 及层底部高程(Bottom Of Layers),根据地质勘测资料,将含水层的顶部高程和底部高程分别填入相应单元格中,一般而言含水层的底部和顶部并不是平面,所以每个单元格中的数值有可能是不同的。
(3) 确定参数,其中有时间(Time) 、初始水位(Initial Hydraulic Heads) 、水平传导率(Horizontal Hydraulic Conducctivity) 、储水系数(Effective Porosity) 等。我们制作的是一个长期模型,时间为120个月即10 年。然后根据地下水观测资料确定初始水位,含水层岩性资料确定水平传导率和储水系数等参数,并将其置入相应的单元格中。
(4) 补给与排泄,通过以上步骤,已基本完成了对模型区物理状态的描述。但这并不等于工作的结束,地下水不是静止的,它是动态变化的,有水量的流入和流出,也就是补给与排泄。如前所述,模型区的主要补给是降水入渗补给,而排泄主要是地下水的开采。按照我们以前定义的时间序列120个月,将模型区每月的面平均降水量置入相应的单元格中。按照同样方法,将开采量放入抽水井所对应的单元格中,在存在潜水蒸发的区域将潜水蒸发量置入相应的单元格。
(5) 模型校准,至此,已完成了建模工作。但这时所取的参数不一定是最合适的,可能偏大,也可能偏小。模型校准的过程就是调整参数的过程,通过不断的调整参数,使模拟的地下水位变化过程和实际我们所观测到的地下水位变化过程最大程度的相一致。
2.3 模型预测结果
地下水模型预测结果表明了评价区地下水水位的变化趋势、变幅及范围。模型预测结果表明,按当前的抽水强度,10 年后地下水位随着灌溉区域机井的密度的大小而有不同的降幅。最大降幅大于10m的地方可能出现在张北县馒头营村、康保县林西村周围,尚义县西南一东北走向并深入到康保县西南部的粘土区域的地带。在检验模型的精确度时,每个模型的总水量平衡通过软件计算获得。在所有情况下,水量流人和流出的平衡误差小于l ,表明模型在数学计算上是合理的。地下水资源的可持续性通过采用地下水补给量及每个区域所有机井抽水量估算进行测定,见表1、表2。
表1 模拟的年地下水补给量及估算的5个模型的抽水量

表2坝上三县模拟的地下水抽水量与估算的总灌溉用水量比较表

3 结语
以上介绍了MODFLOW 模型的原理、概念、使用方法,经过不断的发展与完善,MODFLOW 已经成为世界上最为普及的地下水模拟模型。在我国,尤其是北方地区水资源严重不足,局部超量开采,使用模型评方法价这一区域的水资源有其独到的优越性。因此,可以预见,MODFLOW 地下水模型将在地下水管理、评价、开发、优化配置等方面发挥越来越大的作用。
作者简介: 魏胜利(1965年- ),男,汉族,河北蔚县人,高级工程师,主要从事水文水资源工作。
|
延伸阅读
|


