设为首页
加入收藏
联系站长
   | 网站首页 | 资讯 | 文章 | 生活 | NGO | 考试 | 下载 | 图库 | 论坛 | 博客 | Eteam | Ieco | 产业 | 留言 | 
您现在的位置: 中国环境生态网 >> 文章 >> 环保热点 >> 生态示范区 >> 文章正文 用户登录 新用户注册
[组图]生态县、生态市、生态省建设指标       ★★★★ 【字体:
…保护视力色: 杏仁黄 秋叶褐 胭脂红 芥末绿 天蓝 雪青 灰 银河白(默认色)
生态县、生态市、生态省建设指标
作者:佚名    文章来源:绿韵博客    点击数:    更新时间:2006-4-4
活的全部能源中新能源所占的比例。

  新能源包括生物质能、太阳能、风能、地热能、沼气和农村自建小水电。

  数据来源:统计、农业、环保部门。

  19.秸秆综合利用率

  指标解释:指综合利用的秸秆数量占秸秆总量的比例。秸秆的综合利用包括:秸秆气化、饲料、秸秆还田、编织、燃料等等。计算公式为:

  秸秆综合利用率=(综合利用的秸秆数量/农村秸秆总量)×100%

  数据来源:统计、农业、环保部门。

  20.集约化畜禽养殖场粪便综合利用率

  指标解释:指集约化畜禽养殖场综合利用的畜禽粪便量与畜禽粪便产生总量的比例。有关标准,按照GB18596-2001《畜禽养殖业污染物排放标准》和《畜禽养殖污染防治管理办法》执行。畜禽粪便综合利用主要包括直接用作肥料、制作有机肥、培养料、生产回收能源(包括沼气)等。

  数据来源:县级以上环保部门、农业部门。

  21.农用塑料薄膜回收率

  指标解释:指农业生产活动中所用塑料薄膜(如用于育种、育苗、覆盖土地、塑料大棚、蘑菇生产等所使用塑料薄膜及塑料膜)回收的数量占所用薄膜总量的比例。计算公式:

  农用塑料薄膜回收率= (回收薄膜总量/使用薄膜总量)×100%

  数据来源:农业、统计、生产资料部门。

  22.农林病虫害综合防治率

  指标解释:指施用化学农药以外的综合防治作物和林果病虫害面积与农林病虫害总面积的比例,主要防治措施如物理防治、生物农药、天敌昆虫、栽培措施、育种措施等。计算公式为:

  农林病虫害综合防治率=(综合防治农作物病虫害面积/农作物病虫害总面积)×100%

  数据来源:农业、林业部门。

  23.化肥施用强度

  指标解释:指一年内单位耕地面积的化肥施用量。化肥施用量按折纯量计算。折纯量是指将氨肥、磷肥、钾肥分别按氮、五氧化二磷、氧化钾的量进行折算后的数量。复合肥按其所含主要成分折算。计算方法:

  化肥施用强度=[化肥施用量(千克)/耕地面积(公顷)]×100%

  实际考核时,可采取抽样调查方式获得。

  数据来源:农业、统计、环保部门。

  24.集中式饮用水源水质达标率

  指标解释:指城镇集中饮用水水源地,其地表水水源水质达到《地表水环境质量标准GB3838-2002》III类标准和地下水水源水质达到《地下水质量标准GB/T14848-1993》III类标准的水量占取水总量的百分比。数据来源:卫生、环保部门。计算公式为:

     集中式饮用水源水质达标率=(各饮用水水源地取水水质达标量之和/各饮用水水源地取水量之和)×100%

  25.村镇饮用水卫生合格率

  指标解释:指利用自来水厂和手压井形式取得饮用水的农村人口占农村总人口的百分率,雨水收集系统和其它饮水形式的合格与否需经检测确定。

  计算公式为:

    村镇饮用水卫生合格率=(取得合格饮用水农村人口数/农村人口总数)×100%

  数据来源:环保、卫生部门。

  26.农村卫生厕所普及率

  指标解释:卫生厕所指与猪圈分离的,或可以及时清理的厕所占总户数的百分数。

  数据来源:城建、卫生部门。

  27.农村污灌达标率

  指标解释:指农村用于灌溉的污水(生活污水及工业污水)中,经处理达到农田灌溉用水标准的水量占总灌溉污水量的比例。计算方法:

     农村污灌达标率=(达到农灌标准的农灌污水使用量/总灌溉污水量)×100%

  数据来源:农业、环保部门。

  28.农业生产系统抗灾能力

  指标解释:是衡量农业生产系统稳定性、结构功能优化水平的指标。计算时以受灾损失率表示,由受灾年农业生产总值与前三年农业生产总值的平均值之比较关系给出,以百分数表示。计算方法:

     农业生产系统抗灾能力=(前三年农业生产总值平均值-受灾年农业生产总值)/前三年农业生产总值平均值

  数据来源:统计部门。

  29.人口自然增长率

  指在一定时期内(通常为一年)人口净增加数(出生人数减死亡人数)与该时期内平均人数(或期中人数)之比,采用千分率表示。计算公式为:

   人口自然增长率=[(本年出生人数-本年死亡人数)/年平均人数])×1000

  数据来源:计划生育、统计部门。

  30.初中教育普及率

  指标解释:指应届小学毕业生进入初中读书的人数占应届小学毕业生总数的比例。

  数据来源:统计、教育部门。

  31.城市化水平

  指标解释:指城镇建成区内总人口占地区总人口的比重。计算方法:

     城市化水平=[城镇建成区内总人口数/市(县)总人口数]×100%

  数据来源:统计部门。

  32.恩格尔系数

  指标解释:指居民的食品消费支出占家庭总收入的比例。比例越高表明收入低,生活越贫困,联合国粮农组织判定,恩格尔系数60%以上为贫困,50~60为温饱,40~50%为小康,40%以下为富裕。计算方法:

    恩格尔系数= (居民的食品消费支出/居民家庭总收入)×100%

  数据来源:统计部门。

  33.贫困人口比例

  指标解释:是指生活水平等于或低于当地最低生活标准的人口数占当地总人口的比例,以百分数表示。2000年全国农村的贫困线为年人均收入625元。

  计算方法:

     贫困人口比例=(贫困人口数/人口总数)×100%

  数据来源:民政、统计部门。

  34.基尼系数

  指标解释:基尼系数是用指数来反映社会收入分配的平等状况。基尼系数一般介于0-1之间,0表示收入绝对平均,1表示收入绝对不平均,小于0.2表示收入高度平均, 大于0.6表示收入高度不平均。0.3-0.4之间表示较为合理。国际上一般把0.4做为警戒线。

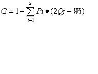
    基尼系数的计算方法:按人均收入由低到高进行排序,分成若干组(如果不分组,则每一户或每一人为一组),计算每组收入占总收入比重( )和人口比重( ),计算公式为 :

     其中:

  或 

上一页  [1] [2] [3] [4] 下一页  

文章录入:anny    责任编辑:anny 
  • 上一篇文章:

  • 下一篇文章:
  • 发表评论】【加入收藏】【告诉好友】【打印此文】【关闭窗口
    对生态省建设理论观点的梳理
    生态省建设进展情况
    江阴激励机制催开环境优美乡
    锻造生态“日月剑”
    立足崭新起点 构筑绿色文明
    生态省,海南坚定不移的选择
    跨越曲线假定 追求和谐发展
    海南生态省建设规划纲要(摘要
    海南生态省建设规划纲要(摘要
    海南生态省建设规划纲要(摘要
    (只显示最新10条。评论内容只代表网友观点,与本站立场无关!)
    | 设为首页 | 加入收藏 | 联系站长 | 友情链接 | 版权申明 | 管理登录 |