设为首页
加入收藏
联系站长
   | 网站首页 | 资讯 | 文章 | 生活 | NGO | 考试 | 下载 | 图库 | 论坛 | 博客 | Eteam | Ieco | 产业 | 留言 | 
您现在的位置: 中国环境生态网 >> 文章 >> 环境学 >> 污染治理篇 >> 治理技术 >> 水体污染治理 >> 文章正文 用户登录 新用户注册
[组图]城市污水BOD与COD关系的探讨       ★★★★ 【字体:
…保护视力色: 杏仁黄 秋叶褐 胭脂红 芥末绿 天蓝 雪青 灰 银河白(默认色)
城市污水BOD与COD关系的探讨
作者:郭劲松 龙…    文章来源:网易给排水    点击数:    更新时间:2006-5-29

 

  3  BOD 5 的相关关系

  3.1 相关方程

  有实验研究表明,城市污水基质的降解过程可用一级动力学模式来描述,亦即有:

dC
= - K C ·C
(4)
dt
dL
= - K L ·L
(5)
dt

  式中 C—— B 的浓度

  L——BOD的浓度

  t——时间

  在只要满足有氧条件、有机物质参与生化反应这一概念下,反应器内剩余BOD和剩余量的降解,应存在如下关系式:

           (6)

  式中 α——有机物在生物降解时伴随的耗氧当量系数

  由式(6)得:

        (7)

  式中 L o 、C o ——生化反应开始时 B 与BOD的浓度

  因此有,在反应进行得很彻底时:

                             (8)

  又因                       (9)

  由式(1)和(2)得:

    (10)

  将式(9)、(10)代入式(8)得:

  

  即       (11)

  令    则得:

              (12)

  表1  与BOD5测定值

序号
BOD5
序号
BOD5
1
627.6
360
7
370.9
180
2
555.5
340
8
504.0
290
3
238.1
125
9
383.0
210
4
437.8
280
10
372.4
200
5
300.0
180
11
324.0
162
6
457.0
280
 
 
 

  

  图2  与BOD5的回归关系

  表1为重庆市某污水干管总排放口处的实测资料。采用最小二乘法对上述数据进行线性回归,得回归直线方程为:

  BOD 5 =0.57                   (13)

  回归直线如图2所示。

  3.2 直线回归方程的检验

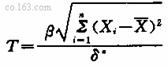
  在求得回归直线方程后,其规律性强不强以及能否利用它来根据的测定值预报BOD5 值?是这类回归经验方程实用性好坏的关键。因此,必须通过对回归直线方程进行假设检验,即检验线性回归模型是否成立,而最终归结为回归系数的检验。根据数理统计知,检验线性回归的方法是:给定显著水平α,计算得:

                 (14)

  的数值,若|T|≥t α/2 (n-2) 则认为线性回归显著。

  式中T——统计变量

  ——回归系数的无偏估计值

  X i ——自变量实测值

  ——自变量算术平均值

  δ * ——方差的无偏估计值

  t α/2 (n-2)——自由度为(n-2)的t分布

  n——子样容量

  此处,取α=1%,经计算T=4.9431,查表t α/2 (9)=3.2498 [6] 因为T>t α/2 (9),所以线性回归显著。BOD 5两者线性相关性很好。

  研究废水BOD与的相关性并建立回归方程的目的之一,是利用易测的指标来预报废水的BOD 5 。如表2所示城市污水BOD 5 的实测值与预报值的比较中可以看出,预报的最大绝对误差为-31.41mg/L,最大相对误差为-17.5%;平均绝对误差为0.17mg/L,平均相对误差为-3.7%。因此可以认为预报的精度较高。

  表2  城市污水BOD5实测值与预测值比较

序号
实测值(mg/l)
预测值(mg/l)
绝对误差(mg/l)
1
360
357.73
2.27
0.6
2
340
316.64
23.36
6.9
3
125
135.72
-10.72
-8.6
4
280
249.55
30.45
10.9
5
180
171.0
9.0
5.0
6
280
260.49
19.51
7.0
7
180
211.41
-31.41
17.5
8
290
297.28
2.72
0.9
9
210
218.31
-8.31
-4.0
10
200
212.27
-12.27
-6.1
11
162
184.68
22.68
-14.0
平均
 
 
0.17
-3.7

  

上一页  [1] [2] [3] 下一页  

文章录入:anny    责任编辑:anny 
  • 上一篇文章:

  • 下一篇文章:
  • 发表评论】【加入收藏】【告诉好友】【打印此文】【关闭窗口
    关于城市污水处理厂的建设
    城市污水工艺调试方法简述
    城市污水处理的技术特点与工
    人工湿地处理城市污水在北方
    城市污水处理及污染防治技术
    渗滤液与城市污水合并处理过
    几种湿地植物净化生活污水CO
    城市污水污染控制技术和政策
    中国城市污水处理问题与水解
    城市污水污染控制技术和政策
    (只显示最新10条。评论内容只代表网友观点,与本站立场无关!)
    | 设为首页 | 加入收藏 | 联系站长 | 友情链接 | 版权申明 | 管理登录 |