设为首页
加入收藏
联系站长
   | 网站首页 | 资讯 | 文章 | 生活 | NGO | 考试 | 下载 | 图库 | 论坛 | 博客 | Eteam | Ieco | 产业 | 留言 | 
您现在的位置: 中国环境生态网 >> 文章 >> 环境学 >> 污染治理篇 >> 治理技术 >> 水体污染治理 >> 文章正文 用户登录 新用户注册
[组图]城市污水BOD与COD关系的探讨       ★★★★ 【字体:
…保护视力色: 杏仁黄 秋叶褐 胭脂红 芥末绿 天蓝 雪青 灰 银河白(默认色)
城市污水BOD与COD关系的探讨
作者:郭劲松 龙…    文章来源:网易给排水    点击数:    更新时间:2006-5-29

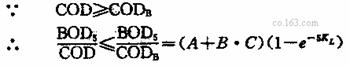
4 讨论

  4.1 耗氧当量系数a的意义

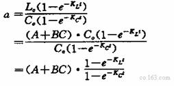
  由式(3)和式(7)有:

                 (15)

  式(15)说明,耗氧当量系数α是呼吸代谢、合成代谢和内源呼吸代谢的综合指标,是随生化反应进程历时变化的一个过程变量,它与BOD和 B 的反应速度常数有关,表达了BOD与之间的关系,具有普遍意义,不同于以往研究中关于BOD与的简单常数比例关系。而系数A、B、C是一种描述物质比例关系的状态量,因此a把过程量和状态量联系了起来。仅当BOD和 B 的反应速度常数相等(K L =K C )时或者反应历时足够长时,它才在数值上等于呼吸代谢氧化比例系数加上合成代谢氧化比例系数与内源呼吸比例系数乘积的和,并且对于同一种污水才可能是常数。也就是说不同污水具有不同的BOD与比例关系,是由于所含有机物的性质和数量不同,以及反应器内微生物生长状况、生化反应过程和微生物生态系统的不同而产生的。

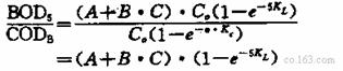
  4.2 关于最大BOD 5 /的值

  由前面分析知:

             (16)

             (17)

  由此可见,BOD 5 /的值直接与BOD 的降解速率常数(K L )有关,也与A、B、C代谢常数有关。这些系数可以通过平行的间歇式生化培养实验来确定,在20℃下连续培养20d以上,逐日测定其同一份培养液的和BOD 并分析培养液的组份,回归有机物降解过程线确定K L 和比例系数A、B、C值。对于城市污水,一般认为A=1/3、B=2/3、C=0.8 [7] ,在20℃时K L =0.23则BOD 5 /的最大值为0.593,本试验测得的BOD 5 /最大值为0.639,两个值相当接近。

  5 结论

  ①BOD与 B 普遍讲是不相等的,它们之间的关系依赖于污水的组成、微生物的反应及生态系统。

  ②在假设反应进行得很彻底的条件下,得BOD 5的关系式BOD 5 =K·,同时对某城市污水的实测资料得BOD 5 =0.57,通过模型检验证明了上述关系有相当的合理性和准确性。

  ③讨论了城市污水BOD 5 /的最大值,得最大经典理论值为0.593。

  6 参考文献

  1.丁淑芹、阎立荣,《环境科技》No 3,1989。

   2. K.Riedel,et al"Amicrobial Sensor for BOD",Wat.Res. Vol.24,No 7,1990.

   3.顾其祥,“某些纯有机化合物的生化需氧量和化学需氧量”,《给水排水》No 1,1978。

   4.顾夏声编著《废水生物处理数学模型》清华大学出版社1982。

   5.田平、龙腾锐,“屠宰废水BOD 5 与的相关性探讨”《重庆环境科学》,Vol.10,No 6,1988。

   6.汪荣鑫著,《数理统计》,西安交通大学出版社,1986。

   7. C.P.L,Grady,et al,Biological Wastewater Treatment——Theory and Applications,1980.

  作者通讯处:630045重庆市沙坪坝 重庆建工学院城建系

 

上一页  [1] [2] [3] 

文章录入:anny    责任编辑:anny 
  • 上一篇文章:

  • 下一篇文章:
  • 发表评论】【加入收藏】【告诉好友】【打印此文】【关闭窗口
    关于城市污水处理厂的建设
    城市污水工艺调试方法简述
    城市污水处理的技术特点与工
    人工湿地处理城市污水在北方
    城市污水处理及污染防治技术
    渗滤液与城市污水合并处理过
    几种湿地植物净化生活污水CO
    城市污水污染控制技术和政策
    中国城市污水处理问题与水解
    城市污水污染控制技术和政策
    (只显示最新10条。评论内容只代表网友观点,与本站立场无关!)
    | 设为首页 | 加入收藏 | 联系站长 | 友情链接 | 版权申明 | 管理登录 |